本文分享论文『Image Super-resolution with An Enhanced Group Convolutional Neural Network』,由西工大&CityU&中南大学&NTHU&哈工大&CUHK联合提出一种增强组卷积神经网络的图像超分辨方法。
- 作者:田春伟,袁奕萱,张师超,林嘉文,左旺孟,张大鹏
- 单位:西北工业大学、空天地海一体化大数据应用技术国家工程实验室、香港城市大学、中南大学、台湾国立清华大学、哈尔滨工业大学、鹏城实验室和香港中文大学
- 论文链接:https://arxiv.org/abs/2205.14548
- 项目链接:https://github.com/hellloxiaotian/ESRGCNN
01 摘要
具有强学习能力的卷积神经网络(Convolutional Neural Networks, CNNs)已广泛用于解决超分辨率问题。然而,CNNs依靠更深层次的网络结构来提高图像超分辨率的性能,这会增加计算成本。因此,本文提出了一种具有浅层结构的一种增强组卷积神经网络的图像超分辨方法(Enhanced Super-resolution Group Convolutional Neural Network, ESRGCNN)。
该方法根据不同通道的相关性,融合深度和宽度通道特征,提取更准确的低频信息,提高图像超分辨性能。一个信号增强操作用来继承长距离的上下文信息,解决深度网络的长期依赖难题。一个自适应的上采样操作被集成到CNN中,获得具有应对变换缩放因子能力的图像超分辨模型。大量实验表明,提出的ESRGCNN在SISR性能、复杂度、执行速度、图像质量评估和SISR视觉效果方面均具有竞争力的。论文代码能在https://github.com/hellloxiaotian/ESRGCNN处获取。
主要贡献:
提出的40层ESRGCNN使用组卷积和残差运算来增强不同信道在深度和广度上的相关性,实现一个高效的SR网络。
采用一个自适应上采样机制来实现一个灵活的SR模型,这非常适用于真实的数字设备。
浅层ESRGCNN仅使用了134层RDN的5.6%和384层CSFM的9.6%的参数量,获得好的视觉效果。同时,恢复1024x2014大小的高分辨率图像的时间仅占RDN和CSFM方法的3%。
02 方法
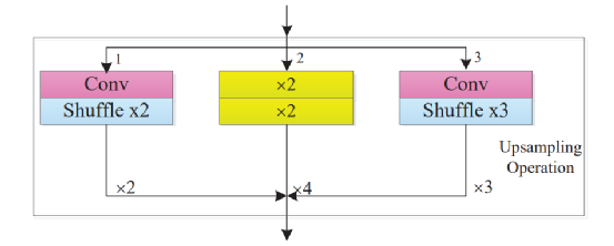
网络结构如图1所示,上采样操作技术如图2和图3所示:

图1 ESRGCNN的网络结构图

图2 用于训练盲超分辨模型的并行上采样操作图

图3 用于测试盲超分辨模型的上采样操作图
内容中包含的图片若涉及版权问题,请及时与我们联系删除


评论
沙发等你来抢