0. 观前提醒
在本文中你将会看到:
-
【CPU下12ms】轻量姿态估计模型Regression方法如何做到比Heatmap方法快近3倍且精度更高 -
【集中盘点】轻量模型常规涨点trick总结 -
【调参侠秘籍】在无参可调的情况下如何找到可以调的参数 -
【搬砖心得】项目工程经验分享 -
【爬坑记录】一些没有起到效果的技术
用充分的实验告诉你,为什么在工程落地中regression方法是比heatmap更好的选择。
1. 前言
拖了很久的mmpose初体验系列第二期,在上一期中我初步体验了mmpose,牛刀小试之后,接下来就应该真正动手做一些自己的东西了。
凭借mmpose优秀的实验配置管理系统,我打算建立一组公平的消融实验对比,向大家展示各种方法在轻量模型上的优劣,以及在实际项目优化中我会如何思考和取舍。
在开始动笔时我本来是打算用mmpose跑几个论文验证实验就差不多了,但后面想着干脆要搞就搞个大的,于是最终汇聚成这篇实验报告。严格来说这篇文章已经不算mmpose的学习笔记了,而是基于mmpose做实验的记录,在这个过程中也确实让我对mmpose的运用熟练了很多,在此需要感谢mmpose社区的大佬和小伙伴们的热心解答。
还记得年初ConvNeXt问世时,那张优化路径图给我留下了很深的印象,想着总有一天我也要这么搞一次,于是有了这张图:
本文标题为算法篇,因此写作的核心是围绕算法进行的模型优化,而在真正做项目落地的过程中,优化是全方位的,因此还会有部署篇、数据篇、工程篇等等,以后有机会的话我也会进行总结。
为了完成这篇文章我在自己的单卡机器上训了几十个实验,前后肝了一个多月,可谓呕心沥血,希望大家能给我点个赞鼓励一下,也欢迎关注我的公众号【镜子的掌纹】~
另外本月我将入职openmmlab-mmpose组了,本文中所有涉及的内容,不出意外的话我都会逐一迭代进mmpose开源库中,优化mmpose对轻量模型的支持,敬请期待。
2. Baseline搭建
2.1 编写配置文件
我计划搭建的baseline是shufflenetv2+deeppose方法,目前mmpose的库中暂时没有现成的配置脚本可以用。
去翻了翻文档里已有的模型记录,虽然当前mmpose并没有轻量模型+回归方法的baseline,但我找到了ResNet50+Regression和ShuffleNetV2+Heatmap在COCO上的两个baseline,所以我很自然地可以参考这两个配置文件来搭建我的目标。
从文档给出的benchmark可以看到,Heatmap方法由于降低了学习难度,在ShuffleNet这样的轻量模型上性能都高于用ResNet50的Regression方法,这也是符合预期的:
接下来开始对比两个config文件:
由于两个方法的差异主要体现在模型结构上,其他大部分训练策略都是一样的,在model定义部分分别使用了ShuffleNet和ResNet,可以看到ShuffleNet使用的是基于mmcls的预训练参数,而ResNet50使用的是Torchvision官方的参数。
而决定输出关键点形式的模块keypoint_head一栏,分别用了TopdownHeatmapSimpleHead和DeepposeRegressionHead,对应Heatmap和Regression头部,损失函数上Heatmap方法使用MSELoss,Regression用的SmoothL1Loss。
(弱弱吐槽一句为啥只有这个地方Topdown的D不大写了感觉好别扭,我还专门去查了是不是typo。。)
接下来的data_cfg配置,由于我要在MPII上训练,所以data_cfg和train_pipleline按照res50上mpii的配置即可。
如此,一个ShuffleNetV2+Regression在mpii上的配置文件也可以很快写出来。
同时按照mmpose的命名规则和文件结构存到configs/body/2d_kpt_sview_rgb_img/deeppose/mpii/路径下,命名为shufflenetv2_mpii_256x256.py
2.2 导出onnx和mnn
在完成配置后其实已经可以开始训练了,但是良好的工程习惯是应该先测试模型的导出部署和推理速度,确保这套流程能顺利进行且满足需求后再进行模型的训练。
目前mmpose在设计导出onnx时的脚本并没有考虑到这个需求,是强制要求输入checkpoint进行参数加载的,所以需要对tools/deployment/pytorch2onnx.py做一点点的小修改,把强制参数改成可选参数,默认为None
# mmpose默认版本
parser.add_argument('checkpoint', help='checkpoint file')
# 修改为:
parser.add_argument('--checkpoint', default=None, required=False, help='checkpoint file')
然后就可以通过脚本导出onnx文件了:
python tools/deployment/pytorch2onnx.py configs/body/2d_kpt_sview_rgb_img/deeppose/mpii/shufflenetv2_mpii_256x256.py --shape 1 3 256 256
得到tmp.onnx后照例进行一下onnx结构简化:
python -m onnxsim tmp.onnx tmp-sim.onnx
之后也跟上一篇文章一样,把onnx转成MNN:
python -m MNN.tools.mnnconvert -f ONNX --modelFile tmp-sim.onnx --MNNModel tmp.mnn --fp16 --bizCode MNN
沿用上一篇文章里实现的python端MNN推理脚本:
import numpy as np
import MNN
import cv2
import time
class Pose():
def __init__(self, model_path, joint_num=21, mean=[0.485, 0.456, 0.406], std=[0.229, 0.224, 0.225]):
self.model_path = model_path
self.joint_num = joint_num
self.mean = np.array(mean).reshape(1, -1, 1, 1)
self.std = np.array(std).reshape(1, -1, 1, 1)
self.interpreter = MNN.Interpreter(model_path)
self.model_sess = self.interpreter.createSession({
'numThread': 1
})
def preprocess(self, img):
input_shape = img.shape
assert len(input_shape) == 4, 'expect shape like (1, H, W, C)'
img = (np.transpose(img, (0, 3, 1, 2)) / 255. - self.mean) / self.std
return img.astype(np.float32)
def inference(self, img):
input_shape = img.shape
assert len(input_shape) == 4, 'expect shape like (1, C, H, W)'
input_tensor = self.interpreter.getSessionInput(self.model_sess)
tmp_input = MNN.Tensor(input_shape,
MNN.Halide_Type_Float,
img.astype(np.float32),
MNN.Tensor_DimensionType_Caffe)
input_tensor.copyFrom(tmp_input)
self.interpreter.runSession(self.model_sess)
output_tensor = self.interpreter.getSessionOutputAll(self.model_sess)
joint_coord = np.array(output_tensor['1022'].getData())
return joint_coord
def post_process(self, coords, bbox):
w = bbox[2] - bbox[0]
h = bbox[3] - bbox[1]
target_coords = coords * np.array([w, h])
target_coords += np.array([bbox[0], bbox[1]])
return target_coords
def predict(self, img):
img = self.preprocess(img)
# print(img.shape)
joint_coord = self.inference(img)
# joint_coord = self.post_process(joint_coord)
return joint_coord
img = cv2.imread(r'D:\projects\mmpose\tests\data\onehand10k\9.jpg')
img = cv2.resize(img, (256, 256))
inputs = img[None,:]
mnn_model = Pose('tmp.mnn')
for x in range(5):
s = time.time()
for i in range(100):
mnn_model.predict(inputs)
print(f'elapse {(time.time() - s)*10:.4f} ms')
测试一下推理速度,在我本地i5-12600KF的cpu上推理是在6ms左右的:
$ python mnn_inference.py
elapse 7.1200 ms
elapse 7.0100 ms
elapse 6.7400 ms
elapse 6.7100 ms
elapse 6.6700 ms
确认了流程没问题后送去训练,为了实验稳定我锁定了随机种子:
python tools/train.py configs/body/2d_kpt_sview_rgb_img/deeppose/mpii/shufflenetv2_mpii_256x256.py --seed 1234
在训了几个epoch后我注意到,在每个epoch之间都会有一次UserWarning的输出且有个短暂停顿,根据经验我猜到是因为Dataloader没有开persistent_workers,导致每个epoch都会重新启动多进程,很快我在mmpose/datasets/builder.py下找到了Dataloader的定义发现果然如此:
为了加速训练我开启了persistent_workers,由于mmpose优秀的注册器机制,我可以在配置文件中直接手动添加这个参数,而不需要去修改builder.py文件:
2.3 RLE & Heatmap
有了第一个模型的经验后,RLE和Heatmap都是现成的配置文件,如法炮制即可。
为了清晰地横向对比,所以我做了ShuffleNetV2+Heatmap的实验,考虑到Heatmap肯定在精度上有优势,但是存在速度劣势,所以我也导出了Heatmap的MNN模型进行了推理速度测试:
$ python mnn_inference.py
elapse 34.7578 ms
elapse 34.7508 ms
elapse 35.0740 ms
elapse 34.7600 ms
elapse 35.2101 ms
可以发现,Heatmap方法跟Regression方法相比,推理速度慢了接近6倍。而RLE方法由于只是在训练阶段添加了一个flow模型,在推理阶段直接扔掉,所以推理速度跟Regression方法是一样的。
2.4 实验小结一
在清楚了基本的训练流程后,采用完全相同的实验配置我做了如下四个实验,实验配置为:
-
单GPU 3060Ti -
bs=128训练210epoch -
adam上学习率5e-4,step=[170, 200] -
imagenet预训练backbone参数
结果如下表:
| 实验序号 | 方法 | acc_pose | PCKh | PCKh@0.1 |
|---|---|---|---|---|
| 1 | deeppose | 0.6909 | 72.1051 | 10.6661 |
| 2 | rle | 0.7177 | 78.6000 | 18.5506 |
| 3-1 | heatmap 256x256 | 0.8704 | 83.6872 | 21.3166 |
| 3-2 | heatmap 128x128 | 0.7617 | 75.6987 | 12.7739 |
| 4 | rle* | 0.7525 | 79.4353 | 19.7371 |
表中带*表示backbone使用了基于heatmap预训练的backbone权重
deeppose:
"Head": 88.16508, "Shoulder": 88.4341, "Elbow": 70.78576, "Wrist": 56.23045, "Hip": 79.0895, "Knee": 61.17217, "Ankle": 49.71674
rle:
"Head": 81.71896, "Shoulder": 92.20448, "Elbow": 80.91024, "Wrist": 69.95078, "Hip": 84.68064, "Knee": 70.31898, "Ankle": 55.52689
heatmap:
"Head": 94.84993, "Shoulder": 92.71399, "Elbow": 83.56934, "Wrist": 75.99908, "Hip": 83.88427, "Knee": 77.67446, "Ankle": 71.53964
rle*:
"Head": 81.71896, "Shoulder": 92.56114, "Elbow": 81.72857, "Wrist": 71.2035, "Hip": 85.14798, "Knee": 71.97149, "Ankle": 57.0382
从实验结果可以看到,在轻量模型上:
-
原始的regression方法精度最低 -
在加入了rle方法后,regression精度得到了一个较大的提升(PCKh上6个点) -
不考虑计算效率的话,heatmap方法在轻量模型上效果还是最好的,但是推理耗时是regression的6倍 -
用heatmap训练后的模型backbone权重训练rle,精度能再进一步提升(PCKh上1个点) -
分辨率对于姿态估计任务非常重要,减小输入图片让heatmap方法掉了8个点
另外不得不指出的一点,由于监督方式的不同,梯度形式上的差距使得heatmap在训练效率上是远高于regression方法的,这一点从训练10个epoch的表现就能体现:
-
Heatmap方法训练10个epoch后acc_pose能达到0.70 -
Deeppose方法只有0.37 -
原始RLE方法训练10个epoch后acc_pose达到0.41 -
使用预训练权重后RLE方法训练10个epoch的acc_pose达到0.56
考虑到从头训练的rle方法最终acc_pose为0.717,我查询log后发现达到0.70的时间是在100epoch,也就是说在同样使用imagenet预训练的backbone参数情况下,heatmap方法训练10epoch就得到了相当于regression方法100epoch的效果,这就是监督方式不同带来的训练效率差异,而我们要想提升regression方法的性能,其中一个思路就是把更多的监督信息引入到训练中。
3. 参数量 & 监督信息
到目前为止,有了预训练权重和RLE加持,regression跟heatmap的精度差距是PCKh上4.2个点,而6倍的速度差距给我了充足的算力空间,来进一步提升regression的精度。
此时我有两个思路:
-
轻量模型之所以弱于大模型,首先是参数量上存在差距。6倍的速度差距让我可以简单粗暴地增大backbone参数量,比如将ShuffleNetV2的宽度系数从1.0变为2.0,推理速度也只是从6ms变成15ms,仍然比heatmap快2倍。
-
使用Integral Pose Regression方法,学习隐式的heatmap,有了更多可以引入监督信息的地方。
3.1 增大backbone参数量
增大backbone最简单的办法就是调整宽度系数,ShuffleNetV2 x2.0后regression推理速度如下:
elapse 16.6774 ms
elapse 15.7000 ms
elapse 16.4100 ms
elapse 15.9700 ms
elapse 16.5253 ms
最终训练结果如下:
| 实验序号 | 方法 | acc_pose | PCKh | PCKh@0.1 |
|---|---|---|---|---|
| 3 | heatmap | 0.87041 | 83.68722 | 21.31668 |
| 5 | shufflex2.0+rle* | 0.78859 | 82.82332 | 23.9032 |
"Head": 85.91405, "Shoulder": 94.20856, "Elbow": 84.42139, "Wrist": 75.15977, "Hip": 87.06935, "Knee": 77.39249, "Ankle": 64.12375, "PCKh": 82.82332, "PCKh@0.1": 23.9032
可以看到,跟heatmap版本的差距已经非常小了,PCKh上只相差0.8个点,PCKh@0.1超越了2.6个点,而推理速度比heatmap快2倍。加入我继续加大backbone的缩放比例到2.5或者3.0,应该是可以全面追平和超越heatmap的,但这样并不是一个好的优化思路,由于低算力设备的cpu通常是远弱于台式机的,经常会出现慢2-3倍的情况,因此15ms差不多是本地测试可以接受的最低速度了,这样一来backbone直接占用了大部分算力,模型头部就没有任何可以优化的空间了。而实际在优化时,backbone的优化通常是放在最后进行的。
这个实验的目的也主要是想告诉大家,推理速度的优势意味着可以增加更多的参数量,这对于轻量模型而言至关重要。
3.2 Integral Pose Regression
Integral Pose Regression方法由来已久,最早提出是为了解决Heatmap方法argmax操作不可微分的问题,通过对网络输出的heatmap计算softmax后求期望的形式得到坐标值。
对于这种方法我过去写过很多篇文章来介绍基础和优化,大家可以自行前往我的历史文章阅读,不在这里赘述了。
由于Integral Pose Regression方法是基于坐标值进行监督,因此我选择在deeppose方法head上进行修改,在/mmpose/models/heads/下复制deeppose_regression_head.py创建了一个integral_pose_regression_head.py,创建IntegralPoseRegressionHead类,并在__init__.py中进行添加,与此同时我还保留了RLE使用的接口。
核心代码大致如下:
@HEADS.register_module()
class IntegralPoseRegressionHead(nn.Module):
def __init__(self,
in_channels,
num_joints,
feat_size,
loss_keypoint=None,
out_sigma=False,
train_cfg=None,
test_cfg=None):
super().__init__()
self.in_channels = in_channels
self.num_joints = num_joints
self.loss = build_loss(loss_keypoint)
self.train_cfg = {} if train_cfg is None else train_cfg
self.test_cfg = {} if test_cfg is None else test_cfg
self.out_sigma = out_sigma
self.conv = build_conv_layer(
dict(type='Conv2d'),
in_channels=in_channels,
out_channels=num_joints,
kernel_size=1,
stride=1,
padding=0)
self.size = feat_size
self.wx = torch.arange(0.0, 1.0 * self.size, 1).view([1, self.size]).repeat([self.size, 1]) / self.size
self.wy = torch.arange(0.0, 1.0 * self.size, 1).view([self.size, 1]).repeat([1, self.size]) / self.size
self.wx = nn.Parameter(self.wx, requires_grad=False)
self.wy = nn.Parameter(self.wy, requires_grad=False)
if out_sigma:
self.gap = nn.AdaptiveAvgPool2d((1, 1))
self.fc = nn.Linear(self.in_channels, self.num_joints * 2)
def forward(self, x):
"""Forward function."""
if isinstance(x, (list, tuple)):
assert len(x) == 1, ('DeepPoseRegressionHead only supports '
'single-level feature.')
x = x[0]
featmap = self.conv(x)
s = list(featmap.size())
featmap = featmap.view([s[0], s[1], s[2] * s[3]])
featmap = F.softmax(featmap, dim=2)
featmap = featmap.view([s[0], s[1], s[2], s[3]])
scoremap_x = featmap.mul(self.wx)
scoremap_x = scoremap_x.view([s[0], s[1], s[2] * s[3]])
soft_argmax_x = torch.sum(scoremap_x, dim=2, keepdim=True)
scoremap_y = featmap.mul(self.wy)
scoremap_y = scoremap_y.view([s[0], s[1], s[2] * s[3]])
soft_argmax_y = torch.sum(scoremap_y, dim=2, keepdim=True)
output = torch.cat([soft_argmax_x, soft_argmax_y], dim=-1)
if self.out_sigma:
x = self.gap(x).reshape(x.size(0), -1)
pred_sigma = self.fc(x)
pred_sigma = pred_sigma.reshape(pred_sigma.size(0), self.num_joints, 2)
output = torch.cat([output, pred_sigma], dim=-1)
return output
Integral Pose Regression方法由于是在backbone输出的8x8特征图上进行的soft-argmax操作,因此对推理速度的影响很小,跟纯regression方案基本一致(甚至快了0.4ms):
elapse 6.5000 ms
elapse 6.3852 ms
elapse 6.3100 ms
elapse 6.3400 ms
elapse 6.5300 ms
3.3 DSNT:为IPR分布添加正则约束
最原始的Integral Pose Regression方法,即soft-argmax,在这里性能上并没有明显的优势,但却给了我们加入更多监督信息的机会。
相比于deeppose直接回归出坐标值,我们可以在IPR的分布表征上对分布进行监督,这也就是2018年提出的DSNT方法,我实现了一个DSNTLoss,即在Loss中加入了对分布的正则化约束。
方便起见,我直接用了DSNT论文作者开源的dsntnn库中提供的js_reg_losses,小伙伴们可以通过pip install dsntnn获取
不过dsntnn库中的坐标归一化是[-0.5, 0.5],而mmpose使用的是[0, 1],需要手动修改一下dsntnn库中的normalized_linspace方法:
# dsntnn/__init__.py:
def normalized_linspace(length, dtype=None, device=None):
"""Generate a vector with values ranging from -1 to 1.
Note that the values correspond to the "centre" of each cell, so
-1 and 1 are always conceptually outside the bounds of the vector.
For example, if length = 4, the following vector is generated:
```text
[ -0.75, -0.25, 0.25, 0.75 ]
^ ^ ^
-1 0 1
```
Args:
length: The length of the vector
Returns:
The generated vector
"""
if isinstance(length, torch.Tensor):
length = length.to(device, dtype)
# first = -(length - 1.0) / length
# return torch.arange(length, dtype=dtype, device=device) * (2.0 / length) + first
return torch.arange(0.0, length, 1, dtype=dtype, device=device) / length
@LOSSES.register_module()
class RLE_DSNTLoss(nn.Module):
"""RLE_DSNTLoss loss.
"""
def __init__(self,
use_target_weight=False,
size_average=True,
residual=True,
q_dis='laplace',
sigma=2.0):
super().__init__()
self.dsnt_loss = DSNTLoss(sigma=sigma, use_target_weight=use_target_weight)
self.rle_loss = RLELoss(use_target_weight=use_target_weight,
size_average=size_average,
residual=residual,
q_dis=q_dis)
self.use_target_weight = use_target_weight
def forward(self, output, heatmap, target, target_weight=None):
assert target_weight is not None
loss1 = self.dsnt_loss(heatmap, target, target_weight)
loss2 = self.rle_loss(output, target, target_weight)
loss = loss1 + loss2 # 这里权重可以调参
return loss
加入DSNT后,我们的模型开始有了可以调参的地方(调参侠狂喜),这里有两个:一是渲染的高斯分布方差sigma取值,二是dsnt跟rle相加的loss权重。
另外此处模型需要同时优化两个loss,而目前mmpose只支持单个loss的优化,所以写成这样,经过跟亦宁大佬沟通,预计在下半年mmpose会加入对多loss的支持,并且会采用更优雅的方式实现。
3.3 实验小结二
| 实验序号 | 方法 | acc_pose | PCKh | PCKh@0.1 |
|---|---|---|---|---|
| 6 | ipr | 0.7235 | 72.5787 | 11.4572 |
| 7 | ipr+rle* | 0.8104 | 79.4925 | 18.9773 |
| 8 | dsnt+rle* | 0.8208 | 80.1275 | 19.2844 |
通过结果可以看到,单独使用integral pose regression方法相较于deeppose,能在推理速度不变的情况下带来性能提升。但这还远远不是ipr方法的全部实力,ipr优秀的表征能力配合rle提供的更优质的监督信息,让regression-based方法训练效率大大提升,训练10个epoch的acc_pose达到0.70,媲美heatmap:
而这里我需要指出的是,ipr的梯度形式相比于heatmap监督仍然是更差的,这里的暂时追平是rle和pretrained共同作用的结果,在后续的训练中ipr由于分布形状不明确、梯度不稳定等因素,收敛速度会有一个明显的停滞,从结果也可以看到,除了初期收敛快以外,最终的性能并不比加了rle的deeppose高多少(PCKh上0.19个点)。
关于梯度影响训练效率的差异的具体分析,我之前写过一篇笔记《一文总结Integral Pose Regression方法的方方面面》,有感兴趣的小伙伴可以进行阅读。
DSNT的调参方面:
| 实验序号 | 方法 | acc_pose | PCKh | PCKh@0.1 |
|---|---|---|---|---|
| 8-1 | w=1,sigma=2.0 | 0.8044 | 79.0710 | 18.5844 |
| 8-2 | w=1,sigma=1.0 | 0.8073 | 79.1413 | 18.5297 |
| 8-3 | w=1,sigma=0.5 | 0.8117 | 79.2532 | 18.9591 |
| 8-4 | w=1,sigma=0.25 | 0.8145 | 79.7268 | 19.3677 |
| 8-5 | w=1,sigma=0.125 | 0.8152 | 79.7267 | 19.1465 |
| 8-6 | w=10,sigma=0.25 | 0.8208 | 80.1275 | 19.2844 |
| 8-7 | w=100,sigma=0.25 | 0.8260 | 79.9089 | 18.3685 |
一开始设置的最常用的sigma=1.0和2.0都有不同程度的掉点,从sampling-argmax论文中也提到,这种强行加约束的方式有时是会导致掉点的,毕竟你很难知道当前的分布尺度最适合的sigma是多少。而dsnt论文实验这张图也显示,特征图分辨率7x7时加约束反而是不如无约束的:
但是后来我考虑到人体姿态估计常用的heatmap尺寸是64x64,最佳sigma=2,dsnt中用的28x28可以近似看成32x32,最佳sigma=1,那么8x8下适用的sigma应该等比例缩小到0.25或者0.125,跑了一下实验果然在0.25和0.125上有了涨点。这样来看dsnt作者的炼丹技术还有待加强(笑)。
再对dsnt的正则化loss权重进行了简单的调参,最终相较于纯ipr有PCKh上0.6个点的提升。w=100时虽然训练阶段pose_acc上升了,但val的PCKh和PCKh@0.1都掉点了,这说明出现了过拟合,因此最终我选定w=10,sigma=0.25这组参数。
由于我本人不是一个调参爱好者,比起调参还是更倾向于从原理上优化,而且用自己的本地机器调参实在太慢也太蠢了(电费顶不住了),这里就不继续了,从dsnt的论文来看,特征图分辨率从7x7提升到28x28有接近3个点的提升,这给我们指明了新道路:增大特征图分辨率。
4. 特征分辨率 & 表征形式
4.1 增大特征图分辨率
特征分辨率对于视觉下游任务的重要性,从HRNet之后几乎也是一个共识了,所以这个思路并不难想到。
如果将模型输出的heatmap看成一个二维的离散概率分布,那么这个heatmap的分辨率无疑是与精度高度相关的。
如dsnt实验中,把分辨率从7x7提升到28x28就能有3个点的提升(resnet上),那么在推理速度可以接受的范围内,这无疑是一种提升性能的有效手段。
我效仿SimpleBaseline在骨干网络输出的特征图后面接了转置卷积层用于上采样,在我原本代码的基础上只需要把self.conv改成堆叠的转置卷积即可。
考虑到推理速度,我没有像SimpleBaseline那样用三层通道数为256的deconv,后接一个1x1卷积把通道数合并到关键点个数。而是只用了两层deconv,第一层256通道,第二层直接压缩到关键点个数。
SimpleBaseline:
deconv = [256, 256, 256]
conv = Conv2d(256, 16, k=1)
我的做法:
deconv = [256, 16]
这里关于计算量和性能的trade-off非常主观,没有太多依据可言,我的做法并不是最优的。
4.2 SimDR
在SimDR论文中用实验证明,关键点表征并不需要全程维护二维的heatmap,用一维来表征也是足够的。
这个其实很好理解,毕竟IPR方法最后也是分别对heatmap在x和y轴方向求和得到各自的一维表征,既然这都行得通,那么模型直接预测一维向量表征是相当符合直觉的。
根据SimDR论文实验结果显示,使用原图两倍长度以上的一维向量就能取得不亚于二维heatmap的精度:
另外我觉得这个结果可以用香农采样定理来解释,至少要用2倍的表征长度(采样频率),才能无损地恢复原尺寸的离散分布。当然,这只是我开的一个脑洞,并不严谨。
遵循SimDR的做法,将经过两次上采样得到32x32的特征图拉直得到长度为1024的一维特征,对这个特征进行线性映射到我们想要的任意长度,然后平均拆分成两段,作为x和y坐标的特征。
跟论文不同之处在于,原文是按照heatmap方法进行后处理,即对一维特征进行argmax获取坐标,而我是用IPR的方式用soft-argmax进行解码,从而保持端到端的训练。
为了验证方法的有效性,对比实验是免不了的,首先实验简单提升分辨率后用32x32的heatmap表征的dsnt方法精度,后续做法跟上面一样,对heatmap做softmax归一化然后求期望,最终模型的推理速度为:
32x32
elapse 11.2500 ms
elapse 11.0500 ms
elapse 10.9400 ms
elapse 11.0478 ms
elapse 11.6800 ms
使用SimDR则是对两个512长度的一维特征分别进行softmax归一化,后续做法跟dsnt类似,只不过dsnt监督的高斯分布是二维heatmap,而SimDR是在一维上监督,因此loss和target实现上有区别,但背后的原理是一样的。SimDR的推理速度为:
simdr 512
elapse 11.8700 ms
elapse 11.7100 ms
elapse 12.0405 ms
elapse 11.9200 ms
elapse 11.9900 ms
原始版本的SimDR是使用one-hot作为target,用交叉熵进行监督的,这样的做法是完全将定位问题当成分类问题来处理,这样做虽然可以,但还有提升的空间,即像heatmap方法一样用高斯分布作为target,用KL散度来监督。采用了高斯分布监督的SimDR方法在论文中称为SA-SimDR,论文实验中SA-SimDR在COCO上性能超过了Heatmap方法。
关于这部分我也写过一篇《为什么说Heatmap方法是分类问题?》来分析原因。
4.3 实验小结三
| 实验序号 | 方法 | acc_pose | PCKh | PCKh@0.1 |
|---|---|---|---|---|
| 9 | dsnt+deconv+rle* | 0.8710 | 81.8111 | 20.6219 |
| 10-1 | simdr+rle* | 0.8783 | 81.5326 | 20.1353 |
| 10-2 | sa-simdr(sigma=4)+rle* | 0.8869 | 81.8241 | 20.4449 |
| 10-3 | sa-simdr(sigma=6)+rle* | 0.8904 | 82.1155 | 20.5672 |
| 11 | sa-simdr(sigma=6) +1x1conv+rle* | 0.8753 | 82.3549 | 20.9342 |
单纯的SimDR如果不加高斯分布监督,取得的结果跟加了dsnt的大分辨率结果比掉了大概0.3个点。
这里就又涉及到需要调参,sigma的选择,由于当前的一维表征长度为512,我按照之前的经验先取到sigma=4,PCKh有0.3个点的提升,基本追平了之前的dsnt方法。
随后我查阅了SimDR源代码发现作者使用的是sigma=6,实验后取得了82.115的PCKh,此时已经超越了dsnt方法。
由于我一开始选用的上采样策略非常激进,后面我在deconv后补了一个1x1卷积。可以看到这层1x1卷积能带来0.2个点的提升。
5. 公式调参 & CoordConv & Dropout
实验进行到这里,似乎能调的参数都已经调的差不多了,但是我们的模型距离heatmap方法还有2.5个点的差距,怎么办呢?在这里我分享一点调参侠独门秘籍,从已有的方法原理里找可以调的参数。
5.1 Softmax
首先是Softmax这个函数,大家应该都不陌生,完整的公式为:
这里的smooth系数常常被省略,但实际上它是一个调整softmax平滑程度的系数。当输入的响应值过小时,Softmax的结果往往过于平滑,这会导致Soft-Argmax的结果趋近于分布的中央,不能正确地得到最大值位置,所以就需要通过来增大输入值,使得Softmax的输入保持在一个合适的精度范围。
但事实上,增大smooth系数来提升softmax近似程度并不好,这会导致梯度消失,后来我读到了王峰大佬的博文《Softmax理解之Smooth程度控制》给出了一个更合理的优化方案:
在人脸识别任务中,网络的最后一层线性变换分类层,实际上可以看成是把前一层输出的特征,与最后一层的权重在计算内积。如果把特征和权重都进行归一化,那么最后一层的物理含义就变成了计算余弦相似度,取值范围就限定在了[-1, 1],所以特征图的响应值范围就限定下来了,接下来再乘上一个尺度因子s来拉大响应幅度,就可以很容易地保证输入到 Softmax 里的分数能在一个合适的范围:
如此一来,就能使得网络的响应值始终控制在Softmax拟合程度好的范围,减小Softmax自身性质引入的计算误差。
而实现这一点也很简单,只需要增加两个全连接层:
feat_x, feat_y = torch.chunk(pred_simdr, 2, dim=-1)
mlp_x_norm = torch.norm(self.mlp_x.weight, dim=-1)
norm_x = torch.norm(feat_x, dim=-1, keepdim=True)
feat_x = self.mlp_x(feat_x)
feat_x /= norm_x
feat_x /= mlp_x_norm.reshape(1, 1, -1)
feat_x *= self.beta
mlp_y_norm = torch.norm(self.mlp_y.weight, dim=-1)
norm_y = torch.norm(feat_y, dim=-1, keepdim=True)
feat_y = self.mlp_y(feat_y)
feat_y /= norm_y
feat_y /= mlp_y_norm.reshape(1, 1, -1)
feat_y *= self.beta
此处的beta作为缩放系数,是可以进行调参的,由于过大的beta会导致梯度消失,我写了一个简单的脚本来估计合适的缩放范围:
def soft_argmax(idx, value, length):
size = length
# 定义一个一维的长度为10的分布
a = torch.zeros((size, ))
# 在第8项上设置响应
target_idx = idx
a[target_idx] = value
# print('dist:\n', a)
# 进行softmax归一化
softmax_res = a.softmax(0)
# print('after softmax:\n', softmax_res)
# 求期望值
lin = torch.tensor([x for x in range(size)])
expectation = (lin * softmax_res).sum()
# print('expectation:\n', expectation)
return expectation
for x in [1, 10, 11,12,13,14,15,16, 20, 30,32, 40, 50, 100, 256, 512]:
length = 512
err = 0.
for idx in range(length):
expect = soft_argmax(idx, x, length)
err += (idx - expect)**2
print(x, err)
1 tensor(11110072.)
10 tensor(5772.4692)
11 tensor(804.1144)
12 tensor(110.0054)
13 tensor(14.9522)
14 tensor(2.0244)
15 tensor(0.2741)
16 tensor(0.0369)
20 tensor(1.3588e-05)
30 tensor(1.4985e-16)
32 tensor(2.7446e-18)
40 tensor(3.0886e-25)
50 tensor(6.3661e-34)
100 tensor(0.)
256 tensor(0.)
512 tensor(0.)
这个脚本统计了不同长度的表征时,不同响应值带来的误差,取到15左右时soft-argmax的误差在1以内,因此我选择了15作为beta。按理来说随着模型训练进行,beta可以逐渐增大来使得预测更加准确,但我没有进行尝试了。
5.2 RLE
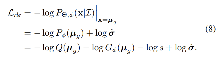
关于RLE其实有一个不太多人知道的小趣事,indigo和亦宁大佬在向mmpose添加RLE方法的过程中,发现作者开源的RLE代码跟论文公式有一点小出入,logQ中多加了一个log(sigma)。
RLE公式如下:
代码实现:
if self.q_dis == 'laplace':
loss_q = torch.log(sigma * 2) + torch.abs(error)
else:
loss_q = torch.log(sigma * math.sqrt(2 * math.pi)) + 0.5 * error**2
这一项的引入可能是由于疏忽,因为按照原文的定义,Q应该是一个标准分布,因此sigma为1,跟模型预测的out_sigma是不同的。但是在去掉这个log(sigma)后模型出现了掉点,因此大家最终决定保留了这一项。
那么这多出来的log(sigma)为什么会起作用呢?
我个人目前觉得可以从多任务学习的角度来理解,多出来的这一项可以看成一个aux_loss,让模型在优化RLE的同时,也需要优化另一个辅助任务,而这个辅助任务的目标是尽量缩小sigma。
在RLE方法中,模型预测的sigma是完全自适应优化的,用来反映模型预测的不确定度,尽管损失函数本身就会倾向于让sigma缩小,但既然增加这一项能涨点,这就说明模型原本对sigma缩小这个目标的权重还不够。
在RLE论文中,作者提出可以用sigma来计算预测的置信度:
于是我输出了随着训练进行用sigma预测关键点存在性的准确率,结果是默认情况下随着训练的进行,sigma预测的准确率在降低,这说明自适应优化的sigma并没有很好地减小,甚至在增大。
所以到了这里,我们就可以很自然地给这多出来的log(sigma)加上一个权重进行调参了(调参侠再次狂喜)
if self.q_dis == 'laplace':
loss_q = gamma * torch.log(sigma * 2) + torch.abs(error)
else:
loss_q = gamma * torch.log(sigma * math.sqrt(2 * math.pi)) + 0.5 * error**2
增大了log(sigma)权重后,sigma预测的准确率停止了下降,不过出现一个现象:权重不论取多大,每一轮的准确率变化都一模一样:
我推测这个现象出现的原因是加大权重后,使得模型倾向于一直缩小sigma,因此把所有点都预测为存在了,毕竟目前没有监督信息。
这里的调参我小偷了一下懒,没有再跑满210epoch,而是根据10个epoch后的PCKh来选择(电费真顶不住了)。
| 实验序号 | 方法 | PCKh |
|---|---|---|
| 12-1 | 1.0 | 79.1855 |
| 12-2 | 2.0 | 79.3911 |
| 12-3 | 2.5 | 79.7840 |
| 12-4 | 3.0 | 79.5446 |
| 12-5 | 4.0 | 79.7424 |
| 12-6 | 5.0 | 79.6877 |
5.3 GFLv1v2
既然观察到了sigma变化趋势,很自然地会想到给sigma加一个监督,就用target_weight信息即可,因为当关键点存在时我们会希望sigma小,反之希望sigma越大越好。
这里我先实验了最简单的binary crossentropy,随后将bce loss换成了GFLv1中提出的Quality Focal Loss,最后再添加了GFLv2中提出的轻量头部,用坐标表征的统计值学习一个权重,乘到sigma预测的分支上。
5.4 Dropout
在前面的实验中我们可以发现,大量全连接层的应用已经使得模型出现了比较严重的过拟合,验证集上82的时候训练集指标已经89了,因此引入一些正则化手段是有必要的,这里我用了Dropout,这是我们刚开始接触深度学习几乎都会学到的一个技术。
5.5 实验小结四
| 实验序号 | 方法 | acc_pose | PCKh | PCKh@0.1 | sigma acc |
|---|---|---|---|---|---|
| 13 | +softmax-based norm | 0.8750 | 82.2456 | 21.2959 | 0.8240 |
| 14-1 | +log(sigma), gamma=2.5 | 0.8802 | 82.3784 | 20.9238 | 0.8841 |
| 14-2 | +softmax-based norm +log(sigma), gamma=2.5 | 0.8802 | 82.3237 | 21.4468 | 0.8848 |
| 15 | +bce loss +softmax-based norm | 0.8705 | 82.2248 | 21.1501 | 0.9713 |
| 16-1 | +qfl +softmax-based norm | 0.8535 | 82.1650 | 21.3921 | 0.9766 |
| 16-2 | +DGQP +qfl +softmax-based norm | 0.8570 | 81.6185 | 21.3167 | 0.9833 |
| 17-1 | +dropout(0.2) +log(sigma), gamma=2.5 | 0.8651 | 82.5111 | 21.0252 | 0.8829 |
| 17-2 | +dropout(0.2) +softmax-based norm +log(sigma), gamma=2.5 | 0.8753 | 82.6568 | 21.2204 | 0.8868 |
从结果来看:
-
基于softmax的优化对于PCKh@0.1的提升比较明显。
-
为log(sigma)加权主要是提升了模型初期的收敛速度,且使模型训练更加稳定,但对最终提点没有太大的帮助。
-
对sigma加监督信息后可以提升存在性预测的准确率,但是会干扰定位任务的学习。
-
加dropout能有效减轻过拟合,并能带来0.2个点的提升。
-
采用QFL比BCE对存在性预测的效果更好,但也更加影响定位任务的学习
-
DGQP可以进一步强化QFL的效果,但对定位任务的影响更加严重,也许可以通过加长训练周期来解决
目前模型的推理速度为11.7ms:
elapse 12.0525 ms
elapse 12.0392 ms
elapse 11.7625 ms
elapse 11.4900 ms
elapse 11.7952 ms
6. 图片分辨率 & 抑制过拟合
6.1 增大图片分辨率
提升输入图片的分辨率同样是一个常见的手段了,但我选择放到最后来使用,因为这种方式增加的计算量是巨大的,很容易挤占别的方法的优化空间。得益于我前面的“勤俭节约”,目前模型还有一些算力空间可以给我挥霍,我选择了在这里祭出这个万金油操作。
由于图片分辨率增加带来的计算量提升是影响整个模型的,我实验了输入320x320,推理时间为:
elapse 17.9134 ms
elapse 17.7805 ms
elapse 17.6927 ms
elapse 17.4205 ms
elapse 17.4552 ms
结果如下:
| 实验序号 | 方法 | acc_pose | PCKh | PCKh@0.1 |
|---|---|---|---|---|
| 18 | 320x320, with 1024d | 0.8822 | 84.1374 | 24.2571 |
6.2 抑制过拟合
到了这一步,我们的一开始的精度目标已经达成了,regression方法用17ms的推理速度达到了比heatmap更高的精度,但是前面我也提到,在本地测试一般我会以15ms作为接受的底线,于是需要考虑如何在不尽量损失精度的情况下把速度优化下来。
首先我减去了一层deconv层,只留下一层deconv进行上采样后接1x1conv。
受到上一节dropout的启发,我们知道现在的模型其实是存在比较严重的过拟合现象的,即使加入了dropout层,训练集和验证集上的指标依然存在4个点的差距,所以我继续从降低过拟合的角度来入手。
降低过拟合最直接的方式当然是减少参数量,但我们本来就是轻量模型,参数每减一点都可能对性能有很大影响,所以如何减参数是需要谨慎考虑的。至于其他的正则化手段,不论是weight_decay还是增大dropout比例,我实验后无一例外也都掉点了。
最终我在分析可能导致过拟合的模块时,把目光集中到了shufflenetv2的最后一层上,作为一个为分类模型设计的backbone,在分类问题上提点的一个有效手段是,在输出的最后一层对特征进行升维。
以shufflenetv2 x1.0为例,模型最后一个stage输出的特征维度本身应该是464维的,但是最后用一个1x1卷积升到了1024维,如果是做分类问题的话,后面会接GAP层然后全连接层,目的是升高维度有利于多类别之间的特征学习,让特征在高维空间更容易区分开,但对于我们的关键点定位任务,其实并不需要这么高的特征维度。
考虑到RLE用来预测sigma的流程跟分类问题比较相似(GAP+FC),最终我选择了让backbone输出两张特征图,1024维的特征用来预测sigma,464维的特征送去做定位,最终推理速度为:
elapse 12.2600 ms
elapse 12.4100 ms
elapse 12.2900 ms
elapse 12.3300 ms
elapse 12.4200 ms
6.3 实验小结五
最终的实验效果如下:
| 实验序号 | 方法 | acc_pose | PCKh | PCKh@0.1 |
|---|---|---|---|---|
| 19-1 | 320x320, w/o 1024d, deconv(256, 16) | 0.8582 | 84.0958 | 24.3950 |
| 19-2 | 320x320, w/o 1024d, deconv(256) | 0.8563 | 84.1036 | 24.4913 |
可以看到过拟合现象被进一步缓解,在接近5ms的速度提升的同时精度几乎没有降低,至此,我们以12.3ms的推理速度让基于regression方法的模型,达到了超越heatmap方法的精度,且推理速度快了近3倍。
7. 不讲武德系列
代码框架和模型搭好以后,由于我所有的优化都是与backbone无关的,可以随意替换更强的backbone,恰好最近mt-yolov6开源,我也紧跟时事随手测了一波。
yolov6-n
elapse 14.6300 ms
elapse 14.8100 ms
elapse 14.6400 ms
elapse 14.6800 ms
elapse 14.7100 ms
yolov6-n模型的backbone加到本模型上推理速度大概14.7ms,参数量比shufflenetv2多了接近4MiB,最终性能提升了1个点:
| 实验序号 | 方法 | acc_pose | PCKh | PCKh@0.1 |
|---|---|---|---|---|
| 20 | 320x320, efficientrep-n | 0.83075 | 84.8217 | 26.1332 |
由于是用的一样的训练配置,可以看到训练集上指标还低于验证集,所以按理来说还有很大的调参空间,性能应该还能再继续提升一波。这个提升其实也不意外,对backbone加重参数技巧带来提点也是目前业务上必加的技巧了,由于本文的目的不在于改进backbone,而且backbone替换带来的涨点,跟原先基于shufflenetv2的heatmap方法精度进行对比也不公平,所以这里只是稍微展示一下效果。
8. 一些没有起到作用的技术
8.1 Debiased IPR
在ICCV 2021中有一篇工作通过数学方法对Softmax引入的误差进行了修正,论文中取得了不错的效果,但是我自己根据论文理解实现的版本效果并不理想,我已向作者发邮件进行了联系,希望能得到作者的帮助。
8.2 Sampling-Argmax
Sampling-Argmax是RLE作者在NeuraIPS 2021的工作,核心思想是对IPR的改进,针对IPR梯度不稳定的问题,设计了一个用重参数技巧来解决的方案,能提供更加稳定的梯度。
在我的实验中,该方法的确可以正常训练,但是最终取得的效果并没有直接用高斯分布监督的精度高。
| 实验序号 | 方法 | acc_pose | PCKh | PCKh@0.1 |
|---|---|---|---|---|
| 21 | 320x320, w/o 1024d, sa-simdr + sampling-argmax(tri,n=10)+rle* | 0.8363 | 83.4973 | 22.7973 |
8.3 TokenPose
TokenPose也是Transformer火了之后很自然的一篇工作,原文的主旨是将Transformer Decoder作为Head来预测Heatmap,在本项目中我们也可以很自然地用来预测SimDR表征,在这里我实验了两种方案,第一种是直接用TokenPose替换deconv层,即backbone提取出来的特征直接送给TokenPose,这样的好处是可以节省计算量,坏处是转换比较激进,直觉上感觉性能可能会不如deconv后的效果,所以又实验了第二种方案,先deconv后再进行TokenPose。
不过考虑到延迟问题,响应的超参数肯定也需要做调整。这里第一种使用的patch size为2x2,第二种则需要改为8x8,即使如此第二种的推理速度也还是慢了不少。
直接输入
elapse 10.7900 ms
elapse 10.9153 ms
elapse 10.6500 ms
elapse 10.8200 ms
elapse 10.8300 ms
deconv版本 4层transformer
elapse 18.7656 ms
elapse 17.6152 ms
elapse 18.2700 ms
elapse 17.9800 ms
elapse 17.8400 ms
deconv版本 3层transformer
elapse 16.9900 ms
elapse 16.8600 ms
elapse 16.9600 ms
elapse 16.8800 ms
elapse 17.3652 ms
另外我注意到加了tokenpose后训练初期的效果差了很多,毕竟基于卷积得到的预训练特征对于mlp众多的transformer而言确实效果有限。
{"mode": "train", "epoch": 1, "iter": 100, "lr": 0.0001, "memory": 3678, "data_time": 0.07201, "reg_loss": 26.4141, "acc_pose": 0.07084, "loss": 26.4141, "time": 1.00655}
{"mode": "train", "epoch": 2, "iter": 100, "lr": 0.00027, "memory": 3678, "data_time": 0.0604, "reg_loss": -33.63047, "acc_pose": 0.19622, "loss": -33.63047, "time": 0.96591}
{"mode": "train", "epoch": 3, "iter": 100, "lr": 0.00045, "memory": 3678, "data_time": 0.06313, "reg_loss": -47.45935, "acc_pose": 0.24253, "loss": -47.45935, "time": 0.92242}
{"mode": "train", "epoch": 4, "iter": 100, "lr": 0.0005, "memory": 3678, "data_time": 0.06104, "reg_loss": -62.17723, "acc_pose": 0.39696, "loss": -62.17723, "time": 0.91032}
{"mode": "train", "epoch": 5, "iter": 100, "lr": 0.0005, "memory": 3678, "data_time": 0.06199, "reg_loss": -72.71697, "acc_pose": 0.49004, "loss": -72.71697, "time": 0.95145}
{"mode": "train", "epoch": 6, "iter": 100, "lr": 0.0005, "memory": 3678, "data_time": 0.05916, "reg_loss": -76.37753, "acc_pose": 0.51472, "loss": -76.37753, "time": 0.96653}
{"mode": "train", "epoch": 7, "iter": 100, "lr": 0.0005, "memory": 3678, "data_time": 0.063, "reg_loss": -78.6295, "acc_pose": 0.53032, "loss": -78.6295, "time": 0.9599}
{"mode": "train", "epoch": 8, "iter": 100, "lr": 0.0005, "memory": 3678, "data_time": 0.05949, "reg_loss": -79.18694, "acc_pose": 0.53346, "loss": -79.18694, "time": 1.02493}
{"mode": "train", "epoch": 9, "iter": 100, "lr": 0.0005, "memory": 3678, "data_time": 0.06176, "reg_loss": -82.34116, "acc_pose": 0.55703, "loss": -82.34116, "time": 1.03079}
{"mode": "train", "epoch": 10, "iter": 100, "lr": 0.0005, "memory": 3678, "data_time": 0.06209, "reg_loss": -83.11978, "acc_pose": 0.56071, "loss": -83.11978, "time": 0.95358}
| 实验序号 | 方法 | acc_pose | PCKh | PCKh@0.1 |
|---|---|---|---|---|
| 22 | 256x256, tokenpose(2x2,depth=4)+rle* | 0.8545 | 82.2795 | 21.3635 |
实验效果方面,加了tokenpose后模型其实并没有涨点,反倒是掉了0.3个点,在mpii这种小数据集上要从头训transformer还是有点太勉强了。根据我过去的个人经验,如果数据量能达到百万级别,加transformer是可以带来性能提升的。
9. 结语
在本文中,我围绕算法对一个经典的轻量姿态估计模型进行了优化,最终以cpu下单线程推理12ms的速度取得了超越heatmap方法的精度,以及接近3倍的速度提升。而在实际项目中,其实还会在backbone、数据处理、部署代码等方面进行优化,推理速度和精度还有进一步大幅提升的空间,如果有机会我还会继续总结成文章分享出来。
这篇文章虽然一开始有预料到篇幅会不短,但整个过程还是几乎占用了我整个离职假期,文章前后写了三版,由于一开始消融实验做得比较凌乱,最后又全部从头跑了一遍确认所有技术的有效性,最后删掉了很多我感觉意义不大,或者跟本文主旨关联不强的内容,算是为我之前的学习所得做了一个严肃的总结。
对我个人而言,这个过程让我对mmpose的掌握加深了很多,以后可以轻松基于mmpose复现各种新的方法,也方便我今后对新的技术进行横向对比,这是我最大的收获。
入职在即,本文中出现的技术在接下来的时间里我应该会整理后开源,感兴趣的同学可以保持关注。
最后,如果觉得我写的东西对你有所帮助,希望能点赞鼓励一下,感谢支持~
内容中包含的图片若涉及版权问题,请及时与我们联系删除


评论
沙发等你来抢