
笔记整理:李娟,浙江大学博士,研究方向为知识图谱表示学习
论文链接:https://arxiv.org/pdf/2208.07622.pdf
代码链接:https://github.com/TamSiuhin/KRACL
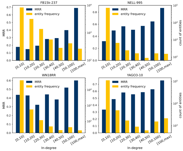
知识图谱(KG)通常是不完整的,知识表示学习(KGE)方法将知识图谱中实体和关系映射到低维向量空间,通过向量间的计算完成知识图谱补全等任务。下图展示了不同入度值范围下RotatE方法的MRR指标和数据集的实体出现频率统计,说明现有KG存在稀疏性,即KG中大部分实体的入度值较低,且已有KGE方法如RotatE在入度低的实体上预测结果表现较差。针对KG的稀疏性挑战,本文提出通过图上下文和对比学习缓解稀疏问题。


方法








其中实体的正样本为实体本身及实体的邻居实体-关系对,负样本为除了实体外的其他实体。模型最终的损失函数定义为两部分损失之和:

实验
本文在稀疏数据集WN18RR和NELL-995,以及稠密数据集FB15K237和Kinship上完成了链接预测实验,证明了方法的有效性:




OpenKG
OpenKG(中文开放知识图谱)旨在推动以中文为核心的知识图谱数据的开放、互联及众包,并促进知识图谱算法、工具及平台的开源开放。

点击阅读原文,进入 OpenKG 网站。
内容中包含的图片若涉及版权问题,请及时与我们联系删除


评论
沙发等你来抢