✅作者简介:热爱科研的Matlab仿真开发者,修心和技术同步精进,matlab项目合作可私信。
🍎个人主页:Matlab科研工作室
🍊个人信条:格物致知。
更多Matlab仿真内容点击👇
⛄ 内容介绍
1.1 ML算法
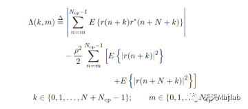
原理:利用CP前后数据相同,则相关后保留有效值,噪声不相关,会去除,根据噪声的概率公式,求得ML下的估计值。

1.2盲检测算法
ML算法是不考虑多径情况的,即多径下,同一个符号接收上的错开问题。盲检测算法把这个考虑了进来。多径的简单示意图如下,在偏移位置到Ncp+L-1这个位置之内,跟后面的部分的相关值是分段的。


从上面基于CP的方法其实可以看出来,时域同步的主要方式就是相关。两段数据相同,则起始点位置一致时,相关值最大。数据没联系,则相关值小。不知道你有没有学习过相关的概念。
前面的CP是OFDM系统本身就有的,但是受到CP长度(实际就是统计相关的数据量,越大肯定统计效果越好)、CP数据和其他OFDM符号里面数据相关性(理想状态是完全不相关,这个当然很难实现)影响,导致效果不稳定。所以一般实用系统里面都是使用训练序列,这样的话就有训练序列本身和放置两个方面的问题。
明显地,良好训练序列具有的基本特点应该是自相关很大,互相关为0,受到信道、频移、噪声的影响后,这个特点依然存在(很多系统里面采用的ZC序列,具有这个特点,可以自己查查。)
下面的几种算法都是采用的普通伪随机序列,然后在放置上考虑的。

⛄ 部分代码
%----Blind 方法是考虑了多径的ML算法,需要多符号进行平均,否则算法效果还比不上ML
%----衰落信道下Blind算法,函数图
clc
clear all
close all
N = 256; %FFT长度
CP_len = 256/4; %CP长度
SNR = 20; %SNR
symbolNum = 20;
TxsymbolCP = []; %产生OFDM时域符号
for i1 =1:symbolNum
Tx = randsrc(1,2*N);
TxSymbolFreq = (Tx(1:2:end)+1i*Tx(2:2:end))/sqrt(2); %QPSK符号
TxSymbolTime = ifft(TxSymbolFreq,N)*sqrt(N); %IFFT,并且功率归一化
TxSymbolTimeCP = [TxSymbolTime(end-CP_len+1:end) TxSymbolTime];
TxsymbolCP = [TxsymbolCP TxSymbolTimeCP];
end
thelta = 8; %定时偏移
k = 0:symbolNum*(N+CP_len)-1;
e = 0.23;
L = 30;
r1 = [zeros(1,thelta) TxsymbolCP(1:end - thelta)];
l1 = 2*(CP_len+N); %检测长度,要将图片的坐标变长,修改该值,但是注意不要越界
v = 50; %单位km/h,其他参数固定下,该值越大,则快衰落越厉害,可以单独从singlePath函数的结果看出各因素的影响
h1 = singlePath(10^(-6)*(length(r1)-1),v);
r = awgn(h1.*r1,SNR,'measured');
n1 = 10^(SNR/10); %信噪比
rou = n1/(1+n1);
%---------加入多OFDM符号的平均,否则结果会不稳定,在m<L的部分,产生突变的大值。
pd = zeros(1,symbolNum);
alpha = zeros(1,symbolNum);
for i1 = 1:l1
for i2 = 0:CP_len-21
for i3 = 1:symbolNum-4
i4 = i1+i2+(i3-1)*(N+CP_len): CP_len-1+i1+(i3-1)*(N+CP_len);
pd(i3) = r(i4)*r(i4+N)';
alpha(i3) = sum(abs(r(i4)).^2) + sum(abs(r(i4 + N)).^2);
alpha(i3) = alpha(i3)/2;
end
md(i2+1,i1)= abs(mean(pd))-(rou)^2*mean(alpha);
end
end
mesh(md)
a = max(md); %每列里面挑选最大值,这些最大值是i3取不同的值的时候取得的。
find(a == max(a)) %得到取最大值时i1的位置。
⛄ 运行结果






⛄ 参考文献
[1] 廖浩凌.无线通信中OFDM与CPM系统同步技术研究[D].电子科技大学[2023-06-12].DOI:CNKI:CDMD:2.1015.708930.
[2] 朱文杰.多载波多天线MIMO-OFDM系统同步及信道估计算法研究[D].武汉理工大学,2009.DOI:CNKI:CDMD:2.2009.103014.
[3] 田中梦文,张晓光,黄艺驰,等.CO-OFDM光纤通信系统接收算法中时序同步的研究[J].光学学报, 2014.
[4] 王庆,王博,徐钊.基于训练序列的OFDM定时同步改进算法[J]. 2011.
⛳️ 代码获取关注我
❤️部分理论引用网络文献,若有侵权联系博主删除
❤️ 关注我领取海量matlab电子书和数学建模资料
内容中包含的图片若涉及版权问题,请及时与我们联系删除


评论
沙发等你来抢