
文章来源:
Phys. Rev. Research(2023影响因子为:4.2,JCR Q1)
文章题目:
Random networks with q-exponential degree distribution
文章地址:
https://journals.aps.org/prresearch/abstract/10.1103/PhysRevResearch.5.033088
摘要:作者使用配置模型生成随机网络,在参数 和 的任意值下,该网络的度分布遵循 指数分布,即 。通常,在 值较小的情况下,这种分布会从 值较小时的平坦状态过渡到节点度值较大时的幂律衰减状态。此外,通过充分增大 ,可以不断缩小这个平坦区域,越来越接近纯幂律度分布。因此,作为对纯无标度网络的推广, -指数在拓扑和传输特性方面显示出丰富多样的行为。本文通过研究它们的平均度、匹配性、小世界行为、对随机和恶意攻击的恢复能力以及 核分解来证实这一点。研究结果表明,度分布越像纯幂律,网络的连通性就越差。因此,当 时,它们的平均度数遵循 ,并且度为 的节点的最近邻平均度 通常随着 的增大而减小。此外,随机 指数网络在任何 的情况下都表现出小世界行为,但随着 的减少和 的增加,平均最短路径会变小。最后,随着 指数的度分布系统性地偏离纯幂律,它们对随机攻击和恶意攻击的抵御能力也会增强。具有 指数度分布的网络同时具有良好的连通性和鲁棒性,表现出无标度和小世界的特性,因此特别适合应用于多种系统中。
背景:在许多领域,人们发现实验、数值结果和理论模型都与 指数相当吻合。这包括充分发展的湍流、等离子体中的反常扩散、宇宙射线统计、经济计量学、生物物理学等领域的应用。特别是,人们发现许多经验复杂网络都遵循 -指数度分布。在一些提议的模型网络中也发现了同样的行为,其中大部分是通过基于优先附着原理的生长模型生成的。这些模型根据经验产生了q指数分布,在某些情况下甚至可以通过分析得到证实。本文,作者使用配置模型来系统地生成和研究具有任意 指数分布的随机网络的性质。
如果度分布遵循指数为 的幂律, ,其中 是节点的度,定义为它与其他节点的连接数,那么这个网络就被称为无标度网络。 -指数分布由以下公式给出
有两个参数: 和 。它是幂律分布的一般化,因为对于大的 ,它的衰减方式类似于 。然而,对于较小的度数 ,它趋向于高度为 的平坦分布。因此,参数 决定了这两种状态之间的交叉。式(1)中的分布是广义恒温统计数学形式及其应用的基本要素。虽然在重尾分布的复杂网络中观察到的大多数性质都是由尾部形状决定的,但在较小的度数上偏离幂律会改变连接最少的节点的出现,从而导致结构变化,影响这些网络的主要性质和过程。
与以往基于优先附着生长模型来获得具有模仿 -指数行为的度分布的网络的研究不同,如前所述,本文采用了配置模型来构建随机网络。通过这种方法,可以确保观察到的特殊拓扑特性(包括内在节点相关性)不是由生长过程引起的,而是度分布的 -指数形式的直接结果。
部分结果:

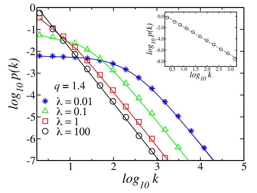
图1. 在 、 、 和 条件下, 指数网络的度分布(符号)与公式(1)的预期分布(实线)的比较。插图显示了 指数分布( )和纯无标度分布[黑虚线, ]之间的比较。这些结果是对规模为 的网络通过100个样本的平均值得出的。可以看出,对于较小的 ,分布在较小的度数时达到稳定阶段,而随着 的增加,幂律区域变得更大。

图2. 在不同的 值下,平均度 与参数 的关系。这些曲线分别对应于 、 和 。对于 的值,平均度遵循 ,正如 指数分布所预期的那样。在纯幂律极限下 ,平均度饱和于一个与 无关的值。

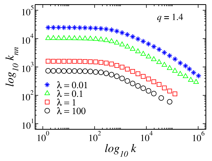
图3. 在节点数为 和 、 、 和 的网络中,节点的平均近邻度 与度 的关系。每条曲线的平坦区对应于 。对于足够大的 值,所有曲线都指向内在的异配行为。

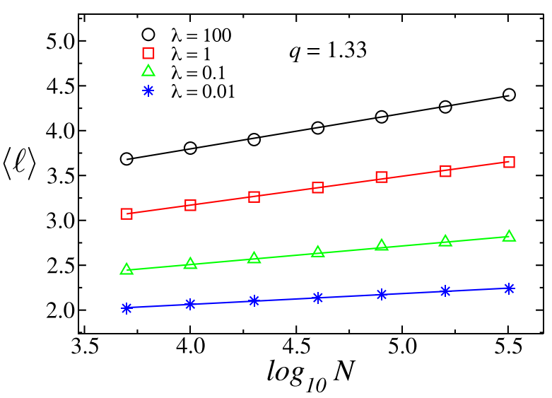
图4. 和 、 、 和 时平均最短路径长度 与节点数量的依赖性。

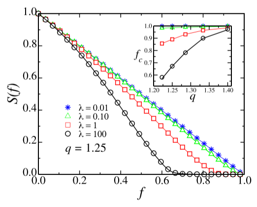
图6. 在 和 的 指数网络中,随机故障时最大集群 中的节点比例与被移除节点比例 的函数关系。通过对200个样本取平均值,这些结果对应于大小为 的网络。对于 ,黑色实线对应的是纯无标度网络随机攻击的结果。插图显示了根据Molloy-Reed标准确定的临界分数 。

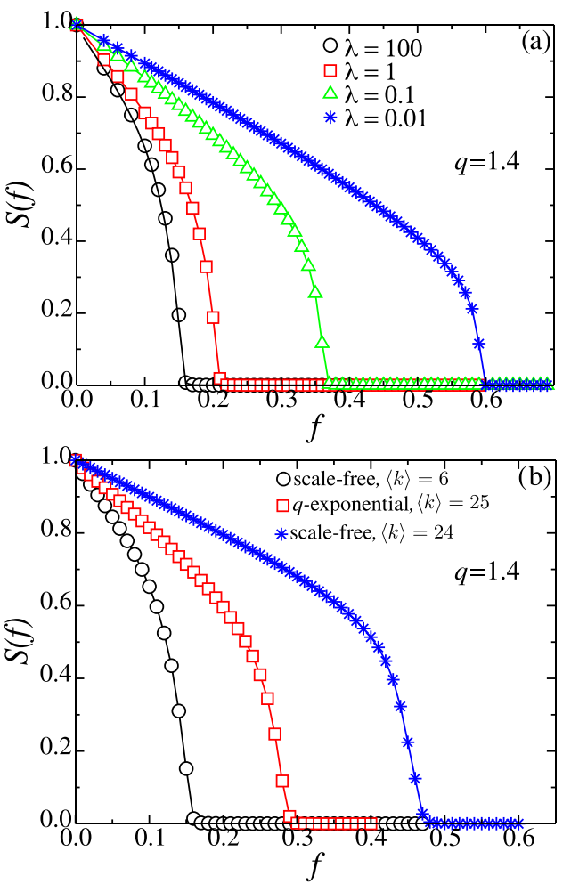
图7. (a)对于以最高度为目标的恶意攻击,最大集群中的节点比例 与被移除节点的比例 的函数关系,指数网络的参数分别为 和 。 的黑色实线则对应于纯幂律网络上恶意攻击的结果。通过对200个样本取平均值,这些结果对应于大小为 的网络。(b)密度 与以 生成并受到以最高度为目标的恶意攻击的网络分数 的函数关系。
⁜ 文章速递:从聚集的局部信息对网络中有影响的节点进行排序
⁜ Nature Reviews Physics:四篇关于网络科学的研究亮点报道
⁜ 用于评估图脆弱性和鲁棒性的Python工具箱
⁜ 文章速递:为什么社交网络中存在六度分离?
⁜ 文章速递:在相互依赖的话题中建立爆炸性意见去极化的模型
⁜ Physics Reports:复杂网络近五年综述15篇
内容中包含的图片若涉及版权问题,请及时与我们联系删除
评论
沙发等你来抢