

关键词:熵估计,瑞丽熵,量子算法
导 读
本文是发表在 IEEE Transactions on Information Theory 上的论文 A Quantum Algorithm Framework for Discrete Probability Distributions With Applications to Rényi Entropy Estimation 的详细解读。该项研究由北京大学李彤阳课题组与腾讯量子实验室张胜誉老师合作完成,北京大学博士生王昕兆为第一作者。
论文提出了一种基于量子奇异值变换的估计离散概率分布统计性质的框架,并证明其在瑞丽熵估计问题上相对现有算法具有更低的采样复杂度。


← 扫码跳转论文
论文地址:
https://arxiv.org/abs/2212.01571
01
背景与动机
对于许多问题来说,量子算法可以比经典算法执行得更快,其中一个重要类别是用于线性代数问题的量子算法。近些年,Gilyén, Low, Su 和 Wiebe[1]提出了一种量子矩阵运算框架:量子奇异值变换(Quantum singular value transformation, QSVT),并被广泛应用在线性代数相关的问题中。
在本文中,我们研究了统计学、理论计算机科学和机器学习中的一个基本问题:统计性质估计,其目的是利用最少的独立样本估计概率分布的属性。一方面,统计属性如熵、散度等,刻画了随机性的一些关键度量。另一方面,相关理论工具在性质测试(property testing)、统计学习等领域中正在迅速发展。在统计性质中,最基本的一个是香农熵,对于
我们记对数中的幂和为
02
贡 献
技术上我们综合了 QSVT,量子退火,和可变时间振幅估计算法[4],提出了一套完整的估计离散概率分布统计性质的量子算法框架。

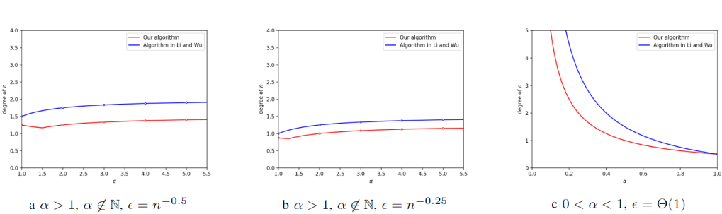
我们应用该框架在瑞丽熵估计问题上,改进了现有量子算法的采样复杂度。图1是本文算法复杂度和之前算法的比较。


图1. 本文算法复杂度和之前算法[3]的比较
接下来我们将简要介绍文中技术部分。
QSVT 与量子退火:
此前已有一些工作研究估计统计性质的量子算法。Gilyén 和 Li[2]用基于 QSVT 的量子算法估计香农熵,并证明其需要的样本数关于分布维数的依赖项相对于经典算法有根号加速。Gilyén 和 Li[2]通过把待估计的概率分布编码在对角阵中,利用 QSVT 对该矩阵的每一个对角项做近似于
受到 Li 和 Wu[3]中的退火过程启发,注意到对于
对于基于 QSVT 的估计某统计量的量子算法,因被估计量过小导致估计其到一定相对误差需要开销过大的现象普遍存在。如果能找到一族缓慢变化的函数,使得初始函数为被估计函数,终止函数为可被高效估计的函数,那么我们就可以通过量子退火来提前放大待估计函数,从而避免估计量过小的问题。
可变时间振幅估计与多项式近似:
QSVT 能实现的变换只有多项式,并且复杂度和多项式度数线性相关。应用中我们需要的往往是非多项式变换,这就需要构造其多项式近似,并分析其带来的误差。以瑞丽熵
我们在此构造的基础上进一步缩小了多项式近似相关的开销。具体来说,我们构造了度数为
同时注意到,多项式度数主要依赖近似的范围
参考文献
[1] Gilyén, András, et al. "Quantum singular value transformation and beyond: exponential improvements for quantum matrix arithmetics." STOC 2019: 193-204.
[2] Gilyén, András, and Tongyang Li. "Distributional Property Testing in a Quantum World." ITCS 2020: 25:1-25:19.
[3] Li, Tongyang, and Xiaodi Wu. "Quantum query complexity of entropy estimation." IEEE Transactions on Information Theory 65.5 (2018): 2899-2921.
[4] Ambainis, Andris. "Variable time amplitude amplification and quantum algorithms for linear algebra problems." STACS 2012: 636-647.

图文 | 王昕兆
PKU QUARK Lab
关于量子算法实验室
量子算法实验室 QUARK Lab (Laboratory for Quantum Algorithms: Theory and Practice) 由李彤阳博士于2021年创立。该实验室专注于研究量子计算机上的算法,主要探讨机器学习、优化、统计学、数论、图论等方向的量子算法及其相对于经典计算的量子加速;也包括近期 NISQ (Noisy, Intermediate-Scale Quantum Computers) 量子计算机上的量子算法。
实验室新闻:#PKU QUARK
实验室公众号:
课题组近期动态


— 版权声明 —
本微信公众号所有内容,由北京大学前沿计算研究中心微信自身创作、收集的文字、图片和音视频资料,版权属北京大学前沿计算研究中心微信所有;从公开渠道收集、整理及授权转载的文字、图片和音视频资料,版权属原作者。本公众号内容原作者如不愿意在本号刊登内容,请及时通知本号,予以删除。

点击“阅读原文”转论文链接
内容中包含的图片若涉及版权问题,请及时与我们联系删除


评论
沙发等你来抢