DRUGAI
蛋白质–蛋白质相互作用(PPI)通过复杂界面调控关键生命过程,其异常与多种疾病密切相关。因此,识别PPIs及其界面靶向调节剂成为重要治疗策略。然而,发现能够靶向PPI及其界面的分子仍然困难,传统基于结构相似性的策略难以有效刻画这些靶点,尤其是在缺乏已知活性化合物的情况下。研究人员提出了AlphaPPIMI,一个结合大规模预训练语言模型与领域自适应的深度学习框架,用于预测PPI-调节剂互作,尤其针对PPI界面。研究人员构建了系统性的基准数据集,并整合了分子、蛋白和PPI结构特征,结合跨注意力机制与条件域对抗网络(CDAN),显著提升了预测性能。实验表明,AlphaPPIMI在跨域泛化能力和界面特异性预测方面均优于现有方法,为发现PPI调节剂提供了有前景的工具。

蛋白质–蛋白质相互作用是细胞功能网络的核心,参与信号转导、代谢调控、基因转录和细胞周期控制。PPI的异常调控是多种疾病的重要分子基础,例如在肿瘤、神经退行性疾病和病毒感染中,特定的PPI互作往往成为关键致病环节。因此,针对PPI的分子调节剂已成为药物研发中的重要方向,部分经典实例如MDM2-p53、BCL2-BAX的抑制剂已经展现出显著的临床价值。
然而,与传统酶类或受体等药物靶点相比,PPI靶点具有显著不同的结构特征:其界面通常面积较大、平坦且以疏水相互作用为主,缺乏明确的结合口袋。这一特征增加了小分子结合的难度,使得传统的基于结构相似性的筛选方法难以适用。即便如此,研究揭示了PPI界面上存在的“热区”(hot spots),这些区域尽管有限,却对互作的形成起着关键作用,为小分子调控提供了潜在切入点。
随着机器学习和深度学习的发展,已有多个方法被提出用于PPI调节剂的预测。例如,2P2IHUNTER利用支持向量机模型进行抑制剂筛选;PPIMpred提供了基于网络的高通量虚拟筛选平台;而最近的SMMPPI、PDCSM-PPI等方法则通过机器学习在SARS-CoV-2等场景下展示了应用潜力。此外,研究人员也提出了基于生成模型的PPI分子设计框架,为结构导向的药物设计提供了新思路。
尽管如此,现有方法仍面临三大核心挑战:
特征表达不足:传统方法大多依赖浅层分子指纹或几何特征,难以全面捕捉PPI界面复杂的理化与拓扑特性。
跨域泛化能力差:不同蛋白家族之间存在显著的分布差异,导致模型在新型靶点上的性能严重下降。
多模态信息融合不足:蛋白序列、结构与分子特征之间的复杂互作难以通过单一特征表示捕捉,需要更加系统的融合框架。
近年来,随着ESM、ProtTrans和Uni-Mol等预训练语言模型的出现,研究人员能够从大规模蛋白序列和分子结构中提取丰富的进化与空间特征。这为PPI调节剂预测提供了新契机。然而,仅依赖这些模型并不足以解决跨域泛化问题,因此需要一个能够融合多模态特征并具备自适应能力的统一框架。
结果
模型架构
AlphaPPIMI的设计核心在于多模态特征融合与跨域泛化。其具体组成包括:
分子特征表示:采用Uni-Mol2模型,结合原子、键和三维几何信息,补充ECFP4指纹,形成高维综合特征向量。
蛋白特征表示:结合ESM2(提取序列进化模式)、ProtTrans(补充不同维度的序列特征)与PFeature(提供结构和理化描述符),最终形成全面的蛋白界面表示。
跨注意力模块:通过双向交互机制,建模蛋白界面与分子调节剂之间的动态关系,确保信息在不同模态间充分交换。
条件域对抗网络(CDAN):用于跨域自适应,减少不同数据集间的分布差异,提升模型在新型蛋白家族中的泛化能力。

与现有方法的比较
在DLiP数据集上进行的随机划分与冷配对划分实验中,AlphaPPIMI均展现出优越表现。
随机划分中,AlphaPPIMI接近满分的AUROC(0.995),表现出极高的区分能力。
更严格的冷配对划分中,AlphaPPIMI依然取得了AUROC 0.827、AUPRC 0.781的稳定结果,明显优于SVM、RF、XGBoost、MLP和MultiPPIMI等基线方法。

相比之下,传统方法容易出现高假阳性问题,表现为敏感性高但特异性低。而AlphaPPIMI通过跨注意力机制和多模态表示实现了敏感性与特异性的平衡,减少了假阳性率。
跨域泛化性能
研究人员将模型从DLiP迁移到DiPPI和iPPIDB数据集,结果显示,所有模型在跨域预测时性能有所下降,但AlphaPPIMI结合CDAN后依旧保持最佳表现。CDAN通过类条件对齐,有效解决了不同蛋白家族间的分布偏移问题,并显著提升了模型在新域中的鲁棒性。

消融实验
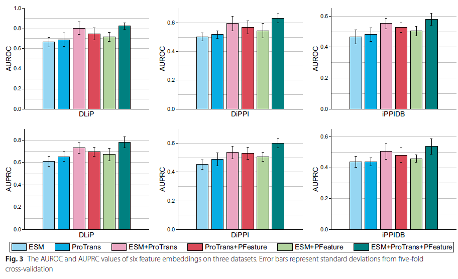
对比单一和组合的蛋白特征表示,结果表明:
ProtTrans单独表现最佳;
结合ESM2、ProtTrans和PFeature三者时性能最高,表明多模态信息融合具有协同效应;
引入CDAN是跨域性能提升的关键因素,而不仅仅是额外数据的作用。

PPI界面调节剂筛选
研究人员利用AlphaPPIMI在ChemDiv库中筛选潜在抑制剂,找到与已知抑制剂DCZ3112相似的分子,并在分子对接实验中验证了这些候选分子与关键界面残基(如Arg32、Asp40等)的相互作用模式。

变构调节剂筛选
AlphaPPIMI成功识别出可能结合gp120/CD4非典型界面的分子,并通过分子对接展示了其结合方式。这为HIV-1感染阻断提供了新方向。

讨论与结论
AlphaPPIMI的提出解决了PPI调节剂预测中的两个关键难题:多模态信息的有效融合与跨域泛化能力的不足。通过引入跨注意力机制和CDAN,研究人员实现了对复杂界面结合模式的深度建模和跨蛋白家族的鲁棒预测。
本研究不仅在标准数据集上验证了框架的有效性,还在典型的PPI案例中展示了AlphaPPIMI的应用潜力。无论是Hsp90–Cdc37这样具有典型界面的互作,还是gp120–CD4这种非典型界面的复杂场景,AlphaPPIMI均能够识别出潜在有效的候选分子。
未来,研究人员计划从两个方向推进:
计算层面:进一步优化特征融合策略,扩大训练数据在化学与生物学空间的覆盖范围;
实验层面:对预测分子进行生物物理实验(如表面等离子共振)和细胞功能实验的验证,加速计算结果向实际药物候选的转化。
总体而言,AlphaPPIMI为PPI调节剂发现提供了坚实的计算框架,其创新性的架构设计和跨域泛化能力有望推动“不可成药”靶点的药物发现进程。
整理 | WJM
参考资料
内容中包含的图片若涉及版权问题,请及时与我们联系删除


评论
沙发等你来抢