
新智元报道
新智元报道
【新智元导读】GPT-5 Pro真正实力显现了!这一次,它又在黑洞领域,仅半小时解决了困扰顶级物理学家的理论难题。复现结果,堪称AlphaGo「神之一手」时刻。
OpenAI真的要放大招了!
今天,黑洞理论物理学家Alex Lupsasca官宣入职,正式成为OpenAI新成立的「科学团队」的一员。

曾经,Alex一直认为AI离科研前沿遥不可及,直到他亲眼见证了GPT-5 Pro的惊人能力——
它在短短30分钟内,竟破解了困扰Alex数日的「黑洞微扰」理论难题!

OpenAI首席研究官Mark Chen甚至表示,「GPT-5复现的结果,让我们想起了AlphaGo神之一手的时刻」。
实话讲,想要成为世界顶尖棋手,不研究AI几乎不可能。
他相信,不久的将来,学术研究也会如此。

OpenAI总裁Greg等人纷纷祝贺Alex的加入
如今,从数学,到天文学、量子,再到物理学,GPT-5正重新定义科学发现的边界——
往期回顾:
这次,来看一看GPT-5 Pro如何在黑洞研究中大显身手。

今年夏天,Alex Lupsasca完成了一篇关于「黑洞微扰」理论中,新型对称性的论文。

论文地址:https://arxiv.org/abs/2506.05298
讲个冷知识,题目不是说「黑洞没有爱」,而是没有「潮汐形变」,因Love numbers为0。

Love numbers以英国物理学家A.E.H. Love命名
以前,科学家们都知道黑洞Love numbers为零,也就是说——黑洞对外界潮汐作用「完全无感」。
但究竟是什么原因,无从得知。而这篇论文,给出了一个很深的数学解释:
黑洞内部的引力场方程,有一个「隐藏的对称性」。
论文中,Alex想要去证明这一观点,即因为黑洞是完美的对称体,所以不会被宇宙的任何「外力」所改变。

一旦这些对称性被确认,揭示其物理意义相对容易,但难点在于找到它们的精确形式,甚至要确定其是否存在。
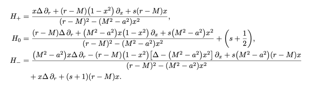
具体来说,他提出了一个全局共形对称性(SL(2,R)),它存在于静态轴对称的「克尔」(Kerr)黑洞微扰中。
这种对称性,对不是几何(非等距变换)意义上的,但却完全精确,可以映射不同解之间的关系。

为此,Alex提出了三类「对称生成元」与对应解族(公式7)——生成元的数学表达。

就这一个复杂的公式,耗费了他数日的时间,埋头在成堆的计算和反复验证中。
然而,当Alex将同样的问题交给GPT-5 Pro时,奇迹发生了。
在短短30分钟内,他不仅复现了论文研究中这一成果,还给出了一致的数学表达。
对话全文:https://chatgpt.com/share/68b006eb-ee0c-8005-903f-bf92065d7e03(上下滑动查看)
在ChatGPT推导过程中,与论文在物理内核上对齐。
它把静态轴对称的方程等价为「轴对称拉普拉斯方程」,并给出三种生成元组成的SL(2, R),即沿轴平移、尺度变换、轴向特殊共形。
Alex Lupsasca表示,GPT-5 Pro的表现令人惊叹,但它并非完美,需要适时的引导。
比如,他通过平直时空的案例提示,帮助AI理解问题的背景。
更令人兴奋的是,GPT-5 Pro还能处理「观测天体物理学」中的难题。其给出的结果,堪比一名优秀研究生耗费数日的研究成果。
这些实例让Alex更加确信:
AI将重塑科研范式。


在OpenAI内部,上个月,科学副总裁Kevin Weil正式启动了一个全新项目「OpenAI for Science」。

目标很简单,打造下一代伟大的科学工具,即一个能加速科学发现的AI驱动平台。
当时,Kevin曾公开发布「英雄帖」,希望招募一个由学者组成的小团队。
要求有三点:
(1)在自身领域达到世界顶尖水平;
(2)深度认同人工智能理念;
(3)具备卓越的科学传播能力
Alex Lupsasca便是这样一位实力型选手,成为「OpenAI科学计划」的首位学术研究员。


根据个人主页,Alex Lupsasca目前还是范德堡大学物理学与数学助理教授。
他于2011年获得哈佛大学学士学位,2017年获哈佛博士学位。
2017-2020年期间担任哈佛大学青年研究员,2020-2022年期间在普林斯顿引力研究中心担任副研究员。
Alex曾与Michael Johnson共同获得2024年「物理学新视野奖」,同时还被「国际广义相对论与引力学会」授予「早期职业科学家奖」。
目前,Alex正在主导一项NASA太空任务提案——
计划将探测卫星送入地球轨道,拍摄天文学史上最清晰的黑洞图像:「黑洞探索者」项目。

越来越多的案例,现已表明,GPT-5 Pro完全能开启一种新形式的全新科学研究。
如今,在AI4S领域,OpenAI也强化了其战略布局。
过去一年里,它曾宣布了与美国国家实验室,在物理和生物学领域的合作。
并与Retro Biosciences合作,用专门定制的GPT模型——GPT‑4b micro,设计出了山中因子的新颖且显著优化的变体。

不仅OpenAI,谷歌DeepMind、Anthropic、微软等科技巨头们,纷纷在AI4S上展开全面布局。
众所周知,拿下诺奖的AlphaFold,便是最典型的代表。
同在今天,谷歌DeepMind还官宣了一项在核聚变领域的合作,用AI强攻「人造太阳」。

最近,Anthropic也成立了科学计划,通过向研究人员提供免费API加速研究进程。
时至今日,AI棋盘上战胜人类的传奇,已然落幕。
让AI深入参与研究,甚至做出原创科学发现,才是我们追逐的下一个星辰大海。


内容中包含的图片若涉及版权问题,请及时与我们联系删除



评论
沙发等你来抢