
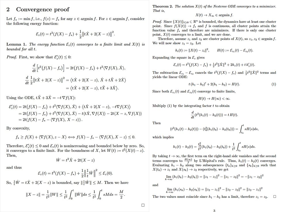
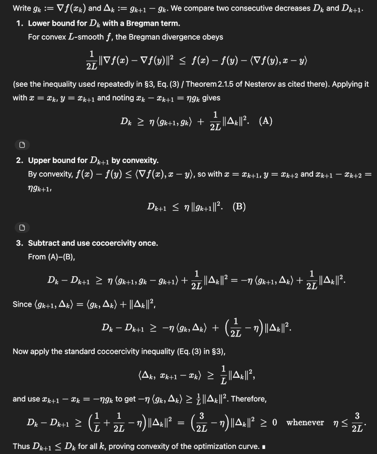
新智元报道
新智元报道
【新智元导读】星星之火,可以燎原!证明的尊严在于可验证;这一次,GPT-5让数学证据落在了代码里。
一雪前耻,ChatGPT为OpenAI「正名」!
被Hassabis吐槽太尴尬之后,GPT-5真启发了新的数学结论。
OpenAI的科学家Sebastien Bubeck高调宣扬GPT-5破解了十道Erdős难题。
但被指出GPT并非解决了Erdős问题,而是找到了已经解决这些问题的文献。
之后,他删除了推文并表示自己并非有意误导。

GPT-5破解世纪难题,竟是上网抄来的!哈萨比斯:太尴尬了。
Yann LeCun斥之为「自食其果」:OpenAI被他们自己的GPTards所害。

之后,他在LinkedIn上的发帖,明显低调多了:

现在,事情来了反转——
Sebastien Bubeck被「冤枉」了,AI的确在加速科学进步。


昨天,这个故事来了一个反转——
普林斯顿大学数学博士Boris Alexeev(下图左)和俄亥俄州立大学副教授Dustin G. Mixon(下图右)发现,悬赏1000美元的707号Erdős问题,在被提出前30年,就已经被解决了。


论文地址:https://borisalexeev.com/pdf/erdos707.pdf
事情有些离谱,堪称数学家的「虚空索敌」——
答案比问题早30年,但直到前不久,外界还普遍以为问题没有被解决!
目前,707号Erdős问题已被标注为「Disproved」(被证伪)。

传送门:https://www.erdosproblems.com/go_to/707
这次,Sebastien Bubeck扳回一局,发推表示:
看来文献检索,终究不是件简单的事😅。
潜台词是说,GPT-5过去找到的10个已有解答,并非易事。
但后面的更精彩。

两位数学家也怀疑结果,于是决定用GPT5在Lean中生成形式化证明。最后,居然成功了!
注意⚠️:ChatGPT和Lean被列入了合作者,但论文内容中还是作者「手搓」。

不过,人类在这个过程中可没少花功夫,需要不断给GPT5提供反馈,完善形式化论证。
在「Erdős的难题」网站上,近期涌现了不少成功案例,研究者利用大语言模型在现有文献中找到了埃尔德什问题的解法。
值得一提的是,用AI找到Erdős问题的「已有答案」,陶哲轩之前已经成功展示过概念验证。
陶哲轩也注意到了这次新证明,认为这是计算机辅助证明的有趣例子。

在研究过程中,两位数学家确信Lean能帮助验证已有论文的真伪,但当时既不熟悉Lean,又觉得其操作界面不够友好。
然而由于ChatGPT能编写Lean代码,他们决定通过氛围编程(vibe coding)方式形式化整个证明。
这个过程耗时约一周,体验颇为煎熬,但最终意外成功了——
形式系统中,ChatGPT严格证明了Erdős猜想的否命题。
最终生成的证明超过6000行代码,包含26个定义、169个引理和4个定理(最终的反例验证部分)。在普通笔记本电脑上,代码验证耗时不足半分钟。
经过数轮往复的互动后,Boris和Dustin认为,如果大语言模型的接口能与Lean深度整合,并针对这种交互方式进行适当微调,许多问题都会大大缓解。
即使是少量的针对性优化,也足以让这种「人机协作证明」的体验更加流畅、自然。
陶哲轩高度认可这次AI辅助证明。他表示,这是在研究论文中负责任地使用LLM输出的罕见用例之一:
重要的是,没有任何LLM生成的输出被直接放入正文(除了为了说明目的引用LLM生成的 Lean 代码片段外);
相反,这种输出仅用于完全可验证的上下文中(在本例中,用于生成可由 Lean进行类型检查的代码)。
不过,陶哲轩强调:「Lean形式化只是对人类证明的补充,并不能取而代之。」
此外,他几乎可以预见会有一些夸张的报道——「这回LLM真解决了一个Erdős问题!」
—— 但事实远比这复杂微妙。要得出任何结论,都需要先把来龙去脉仔细梳理清楚。

加州大学欧文分校数学教授Paata Ivanisvili,也把ChatGPT列为论文合作者。

新论文由数学教授Paata Ivanisvili、2022届中科大本科校友Xinyuan Xie (谢新元)合作,ChatGPT是第一作者。

这一探索起源于两人请GPT-5 Pro在公开的未解问题(下文👇)中寻找反例。

链接:https://simons.berkeley.edu/sites/default/files/openprobsmerged.pdf
标题:Real Analysis in Computer Science:A collection of Open Problems
经过若干数值实验后,它提出了一个关于带擦除的非交互相关蒸馏问题(Non-Interactive Correlation Distillation, NICD with erasures)的反例:
一个定义在5比特上的布尔函数,在擦除参数p=0.40时,其 E∣f(z)∣值 严格大于 5比特多数函数(majority function)的对应值。
他们记录了这一发现并验证全部计算过程。
这一结果与线性阈值函数中关于「Majority is Least Stable」的经典反例,形成了呼应:即便AI只是将已知的反例模式应用于新场景并加以验证,其贡献依然值得肯定。

传送门:https://arxiv.org/abs/1703.07657
这是理论计算机科学中AI的「星星之火」:以往大语言模型(LLMs)多用于文献检索或数值辅助,而此次则真正生成了一个具体、有限且可验证的反例。
此外,UCLA的数学教授Ernest Ryu,借助GPT-5 Pro解决了一个凸优化领域的开放问题。

尽管模型约有80%的证明尝试是错误的,却提出了多条新颖思路。

GPT-5 Pro的具体贡献:
给出了最终可行的证明思路与论证框架
通过快速排除无效路线,大幅加速了探索进程
这项工作耗时约12小时,分3天完成。事后,Ernest Ryu回想起来,这个证明其实非常简单。
ChatGPT生成的证明的关键步骤:
可以上下滚动的图片
Ernest Ryu总结了他自己的贡献:
筛选出不正确的论点,并积累一系列正确的事实。
识别有前景的新推理思路,并引导 ChatGPT 进一步探索这些思路
认识到何时某个策略已被充分探索,并决定何时转向其他方向。
他还将继续开发这个项目,并将结果发表在专业的优化理论期刊上,并分享更新和未来的部分。
被吐槽的OpenAI科学家Sebastien Bubeck,也复现了类似的场景——
GPT-5可以证明有趣的数学结论。

不过,人类实际上抢先了gpt-5 一步:-)。另一位作者完全填补了差距,证明了新的界限。
GPT-5提出的证明:

GPT-5已经提出了多个具有研究价值的新想法。不仅如此,它实际上自己想出了大部分提示词:

传送门:https://github.com/Dicklesworthstone/model_guided_research
AI辅助研究大门,正在打开。
或许,历史铭记的不是那句「太尴尬了」,而是那行悄无声息通过编译的qed。


内容中包含的图片若涉及版权问题,请及时与我们联系删除







评论
沙发等你来抢