西风 鹭羽 发自 凹非寺
量子位 | 公众号 QbitAI
刚刚,陶哲轩与多名数学家通力合作,为Erdős#1026正式画上了句号。
至此,这个尘封50年的难题终于得到完全解决。
关键是,AI又立大功了。在多种AI工具的辅助下,整个解题流程仅用48小时便完成。

博采众家&AI之长,正在成为解决问题的关键。
正如陶哲轩本人所说:
用传统方法,一两位数学家用简单的编程和文献检索工具,最终也能完成,但可能需要数周或者数月才能解决。

陶哲轩随后亲自梳理并公开了此次问题被解决的完整过程。

消息传出后,网友纷纷感叹“太酷了”:

一起来看看他们究竟是如何解决的?
48小时解决Erdős#1026
Erdős#1026问题最早在1975年被提出,初始问题为:

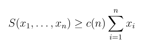
但该问题表述相当模糊,于是数学家Desmond Weisenberg提议对这个函数的最小可能值进行研究,引入一个最大常数的量c(n),使得:

其中c(n)是所有长度为n的不同实数序列。
如果用博弈论来解释该问题,那么就是:
假设Alice有N个硬币,她将硬币分为n堆,每堆大小都为,Bob只能选择一个单调子序列的堆,并拿走这些堆里的所有硬币。
问Bob无论Alice如何分配硬币,至少能保证拿走全部硬币的多少比例?其中c(n)是Bob拿走的最小比例。
这里陶哲轩还用AI画了一张简单的说明图:

陶哲轩随即给出了他的初步答案,显然c(1)=1时,Alice只有一堆,Bob可以拿走全部;c(2)=1时,两堆一定处于单调,Bob可以拿两堆;c(3)=2/3时,Bob至少可以取两堆,但无法保证全部三堆。
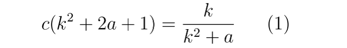
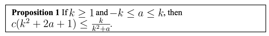
数学家Stijn Cambie提出了更进一步的猜想。
通过计算c(n)的前几个值可以得到,存在以下近值:1,1,2/3,1/2,1/2,3/7,2/5,3/8,1/3。
所以如果,...,是不同的正实数且,那么总存在一个和至少为1/k的单调子序列。
但该问题随后一直没有出现进展,直到Boris Alexeev使用Harmonic的数学AI模型亚里士多德,在证明助手Lean中自动构造并证明了关键不等式。
该证明成功将原问题转化为一个计算几何领域的矩形填充问题。
一个小时不到,另一位数学家Koishi Chan加入其中,给出了一个基于原始Erdős–Szekeres定理的替代证明,印证了前面AI的发现。
第二天,陶哲轩注意到了这个问题,他将该问题放入AlphaEvolve,要求它通过生成总和为固定值(这里选择的是10的6次方)的实数(或整数)序列,来获取c(n)的上界,并尽可能确保S的值够小。
在运行一小时后,AlphaEvolve生成了以下c(n)的上界,其中包含了一些结构清晰的潜在极值解:

显然数值分数(除以10的6次方)正在试图逼近简单有理数,于是陶哲轩又利用John Cook的公开专用工具,将序列整理成:

这为序列c(n)的值提供了一种猜想,之后Boris Alexeev继续找到了该猜想的简洁表述,即:

满足和。
另外,他还提供了一个明确的上界构造:

该上界通过构造不利配置的序列实现,基本思想仍然来自Erdős–Szekeres定理,即复杂设计数字排列顺序,会使得长单调序列无法同时拥有很好的权重。
这种构造是组合性的,需要精心设计序列结构与分块策略,才能使最长序列单调和受限。

用ChatGPT Pro生成1/c(n)的图像,能够直观看出,它基本上是对平方根函数的分段线性逼近。

不久之后,数学家Lawrence Wu就该问题,结合正方形填充(Erdős#106)进行了阐述。

根据Erdős#106,他将f(n)引入该问题,设定其为最小数,使得把n个正方形按平行坐标轴打包进一个大正方形时,满足:

其中对于n=10时,用ChatGPT Pro生成转换成方形打包的图像,如图所示:

在此基础上,Lawrence Wu通过AI论文检索,找到了一篇去年由Baek、Koizumi和Ueoro联合发表的论文,最终证明了猜想中的公式,从而完成了整体证明。
接下来陶哲轩将上述所有信息全部输入了ChatGPT,生成了连贯证明。
人+人+AI=数学破壁机
当然,这已经不是陶哲轩第一次用AI解题了。
最近,他还借助Gemini 2.5 Deep Think破解了Erdős问题#367。
这是他本人很擅长的连续整数结构的乘法数论问题,该问题建立在前人并不完整的反证基础上,陶哲轩借助Gemini Deep Think进行证明补全。
全程只用了十分钟,Gemini就从论证分析打通了结论确认。

另外,陶哲轩前段时间还利用GPT-5进行半自动化文献检索。
他借助GPT-5对相关数列进行高精度计算,随后将得到的结果输入OEIS(一个收录全球数列的数据库)进行检索对照,进而发现部分Erdős问题其实早已在既有研究中被解决——只是长期没人注意到,未把结果与问题库对应起来。

至于什么是Erdős问题?
它出自20世纪著名匈牙利数学家Paul Erdős。此人一辈子合作了超500位数学家,毕生发表了约1525篇数学论文,数量之多,至今无人能及。相应地,他也提出或转述了千道问题,给后人留下了“Erdős问题”。
其中大量题目被收录于erdosproblems.com网站。该网站由数学家Thomas Bloom制作,记录了每道题目的当前状态。目前,绝大多数难题依然悬而未解。

随着AI技术的不断进步,接连有人利用AI成功解答了这些几十年来未曾解决的难题。
陶哲轩本人就表示,“在Erdős问题网站上,AI辅助已经变得很常见”。

就在前几天,来自Harmonic的数学AI模型还被曝独立证明了Erdős问题#124。
微软前AI副总裁、目前在OpenAI研究AGI的Sebastien Bubeck表示“该解决方案100%由AI生成,总计耗时6小时”。

目前,Erdős网站也公开鼓励大家借助AI等工具辅助解题:
允许使用AI辅助撰写评论,但需满足:(a)公开说明使用了AI;(b) 内容(包括数学内容、代码、数值数据及相关来源)已由用户本人独立(不借助AI)仔细检查和验证;(c)评论长度合理。

而这次Erdős#1026的快速解决,离不开“人与人的协作”+“人与AI的协作”。
这种协作方式,也正在成为一种新趋势。
参考链接:
[1]https://www.erdosproblems.com/forum/thread/1026
[2]https://terrytao.wordpress.com/2025/12/08/the-story-of-erdos-problem-126/
一键三连「点赞」「转发」「小心心」
欢迎在评论区留下你的想法!
— 完 —
🌟 点亮星标 🌟
内容中包含的图片若涉及版权问题,请及时与我们联系删除


评论
沙发等你来抢