
作者:田小幺
编辑:李宝珠
转载请联系本公众号获得授权,并标明来源
日本北海道大学开发的 ChemOntology 框架,实现了化学本体论从「描述性标注」到「指导性控制」的跨越。该框架在经典 Heck 反应机理研究中的成功应用,不仅验证了其加速路径搜索的有效性,也凸显出「化学知识」与「自动化计算」相融合的巨大潜力。
化学反应机理不仅揭示物质转化的内在规律,也为高效催化剂设计、绿色合成路径开发等工业应用提供关键依据。而要解析反应机理,离不开一项关键的计算技术——反应路径搜索,即通过在势能面(PES)上定位局部极小值与反应中间体,帮助人们描绘出反应的真实路径。
长期以来,计算化学家主要依赖内禀反应坐标(IRC)方法,通过生成有限构型来探索反应机理。然而,这种传统做法存在明显局限,往往受研究者预设路径的约束,容易遗漏非常规的反应通道,从而可能错过潜在的替代机理。
随着人工力诱导反应(AFIR)等自动化方法的发展,无偏见的反应路径搜索成为可能。这类方法将反应路径视为由「节点」连接而成的网络,通过迭代生成新构型,对反应可能性进行系统性探索,从而为发现未知反应机理打开了新窗口。
然而,自动化路径搜索并非完美方案。大量构型的能量计算带来了高昂成本,而构象变化对机理研究的必要性,更进一步加剧了计算负担。尽管半经验方法、机器学习势函数等手段可部分降低成本,但能量预测的偶然失准仍可能影响路径搜索的可靠性。
化学本体论作为一种「知识结构化工具」,为突破上述瓶颈提供了新思路。它通过实体、属性、关系与规则的标准化定义,将零散的化学知识组织为机器可读、可处理的结构化信息。例如,RXNO 等本体框架已在反应路径标注中展现出价值。
在此基础上,日本北海道大学研究团队开发了一种的全新 AI 系统 ChemOntology,作为一种化学知识分类系统,它将人类的化学推理形式化为机器可理解的框架,进而快速探索并分析化学反应。该框架在经典 Heck 反应机理研究中的成功应用,不仅验证了其加速路径搜索的有效性,也凸显出「人类化学知识」与「自动化计算」相融合的巨大潜力。
相关研究成果以「ChemOntology: A Reusable Explicit Chemical Ontology-Based Method to Expedite Reaction Path Searches」为题,已发表于 ACS Catalysis。
研究亮点
* 成功将人类化学家的直觉「编程」进系统之中,且并不依赖训练数据集,这一点相比传统机器学习方法具有明显优势;
* 实验结果显示,结合 AFIR 后,ChemOntology 在探索约一半路径数量时即可获得与 AFIR_TARGET 完整搜索相当的有效结果,整体计算成本降低近一半。

论文地址:
https://pubs.acs.org/doi/10.1021/acscatal.5c06298
关注公众号,后台回复「ChemOntology」获取完整 PDF
更多 AI 前沿论文:
https://hyper.ai/papers
知识驱动框架的数据方法论
该研究所依赖的数据资源并非传统意义上用于训练机器学习模型的海量数据集,这一点恰恰源于 ChemOntology 作为一种知识驱动框架的内在特性:以化学规则与机理为核心,而非依赖数据拟合,从而在方法论层面规避了对大规模数据的高度依赖及其潜在局限。
首先,研究人员借助公共化学数据库 PubChem 获取反应中所有关键组分的标准化信息,包括分子结构、名称与唯一标识符。这些信息可被视为每一种化学物质的「身份证」,不仅有助于准确界定各组分在反应体系中的角色,还能通过唯一的化合物编号追踪目标产物、排除无关或不必要的副产物,从而使后续反应路径的搜索更加精准、高效。
其次,为了在真实而复杂的化学场景中检验方法的可靠性与适用性,研究人员选取了机理多样、反应步骤繁多的经典 Heck 反应作为测试案例,并为该体系提供了完整的输入信息,包括反应物、催化剂、配体和碱的三维结构文件,以及已知中间体与最终产物的参考能量数据。这一具有代表性的案例能够充分考察方法在复杂反应网络中的表现,不仅验证了其识别关键中间体、区分主副反应通道的能力,也直观体现了其在降低计算成本方面的优势。
总体而言,该研究通过权威数据库保障信息的准确性,借助典型复杂反应检验方法效能,并以全面开源促进协作与迭代,使其能够在不依赖大规模训练数据的前提下,保持对多样化有机金属反应体系的广泛适用性。
ChemOntology:面向有机金属反应的路径搜索新框架
ChemOntology 是一种知识驱动型计算框架,其核心思想并非依赖大规模数据训练模型,而是将化学反应规则、结构约束与量子化学路径搜索过程进行系统整合,从而在明确的化学语境下高效探索反应路径。该方法以 AFIR(Artificial Force Induced Reaction)为计算引擎,通过显式编码化学知识来引导搜索方向,并对生成结构进行实时筛选,以避免无意义或不合理的反应演化。
如下图所示,ChemOntology 的工作流程由用户输入解析(User’s inputs)、化学信息建模(Process chemical information in setup file)、反应路径生成(Construct reaction paths using ERPOs)、结构合理性约束(Construct hybridizations for all atoms)、运行并控制 AFIR (Run & control AFIR)以及路径分析(Analysis of reaction nodes & paths)等环节构成。

ChemOntology 的六步工作流程
反应体系首先被解析为由金属、配体、底物和可选碱等结构单元构成的集合,每一类单元均被赋予明确的化学角色与属性。反应过程被描述为结构单元及其内部原子杂化状态的逐步转化,从而在「反应节点—结构单元—原子」三个层级上追踪结构变化。这种分层表示方式使模型能够在不依赖电子结构细节的情况下,仅基于几何与拓扑信息判断反应路径的化学合理性。
反应路径的生成依托于 ERPO(Elementary Reaction Pathway Operator),即对常见有机金属基元反应过程的模块化描述,如配位化合物形成、氧化加成、烯烃插入或 β-氢消除等。ERPO 不仅用于构建反应序列,也在搜索过程中承担规则验证的功能,确保每一步结构转化符合预期的化学语义。通过将复杂反应拆解为可组合的基元过程,ChemOntology 能够在保持反应多样性的同时显著降低搜索空间的组合复杂度。

举例说明 ERPO 的实际应用
为进一步约束反应演化,ChemOntology 引入了基于原子杂化变化的过滤机制。用户可通过少量参数限定不同结构单元在整个反应过程中允许发生的最大结构调整幅度,超出约束的几何结构会被自动识别并从搜索中剔除。这一机制在不预设具体反应结果的前提下,有效抑制了结构爆炸问题,并显著提高了计算效率。
在实际计算中,ChemOntology 作为知识控制层嵌入 AFIR 搜索流程之上,结合半经验紧束缚方法 GFN2-xTB 描述反应路径的几何演化。与机器学习模型不同,ChemOntology 不需要数据集训练,其「知识库」主要由官能团识别规则、结构单元分类方案和 ERPO 文件构成,均可由用户根据研究对象灵活修改。这种设计使 ChemOntology 更像是一种可计算的化学方法论,用于将人类化学直觉系统性地引入自动反应探索过程。

ChemOntology 的计算工作流
总体而言,ChemOntology 提供了一个在明确化学约束下开展反应路径搜索的平台:它并不限制新反应性的出现,而是通过结构化规则引导计算在「合理的化学空间」内进行探索,从而在反应机理解析与潜在新化学发现之间取得平衡。
实验结果:计算成本减半,路径清晰度倍增
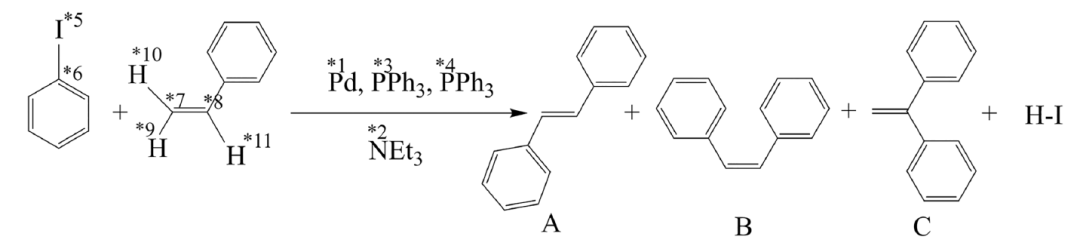
为验证 ChemOntology 框架在反应路径搜索中的有效性与效率,研究团队选取了机理复杂且具有代表性的经典 Heck 反应作为测试体系。如下图所示,该反应以碘苯和苯乙烯为底物,在钯催化、三苯基膦配体和三乙胺碱的条件下,主要生成反式二苯乙烯,并伴随少量顺式异构体及微量副产物。其机理涵盖氧化加成、烯烃插入、迁移插入、β-氢消除和碱消除等多个关键步骤,反应中心众多,对自动化路径搜索方法构成了典型挑战。

Heck反应示意图
研究中对比了三种并行的路径搜索策略:无引导的 AFIR_DEFAULT、部分限定反应中心的 AFIR_TARGET,以及引入化学本体论的 AFIR_ChemOntology。三者在搜索「智能化」程度上存在本质差异:前者几乎不加区分地遍历构型空间,后者通过人为约束缩小搜索范围,而 AFIR_ChemOntology 则由框架自动识别反应组分的化学角色与关键反应中心,并借助基元反应过程对搜索进行动态引导。
在相同计算条件下,如下图所示,三种方法生成的反应网络差异显著。AFIR_DEFAULT 产生了大量缺乏化学意义的无效节点,有效路径被严重淹没;AFIR_TARGET 虽有所改善,但仍存在较多冗余结构;相比之下,AFIR_ChemOntology 的搜索结果高度聚焦,能够较早勾勒出清晰的主反应通道,并将计算集中于化学合理的路径之上。进一步的中间体统计表明,ChemOntology 显著降低了「坏节点」比例,识别出的关键中间体与 Heck 反应的经典机理高度一致。

反应网络图
如下图所示,能量分析显示,三种方法在反应早期均捕获到共性步骤,但只有 AFIR_ChemOntology 能够完整区分并追踪分别通向主产物与副产物的特异性路径。此外,在有效路径中普遍观察到与 β-氢消除相关的特征相互作用,而在通向微量产物的路径中,该相互作用表现出较弱的结构稳定性,可能解释了其较低的生成概率。

三种方法的能量曲线比较
在计算效率方面,AFIR_ChemOntology 在探索约一半路径数量时即可获得与 AFIR_TARGET 完整搜索相当的有效结果,整体计算成本降低近一半。这一优势主要源于化学知识对搜索方向的引导以及对无效结构的实时过滤。总体而言,实验结果表明,将化学本体论融入自动化路径搜索,能够在保证化学合理性的同时显著提升机理解析效率,为复杂反应体系的研究提供了一种更高效、可靠的途径。
从实验室到工厂:化学本体论重塑反应探索之路
化学本体论与自动化反应路径搜索的融合,正在架起一座连接理论化学与工业应用的关键桥梁。这一趋势不仅在学术界催生了一系列前沿探索,也在产业界引发了实质性的创新实践,推动着反应机理研究从传统的「事后解析」向更具预见性的「主动引导」转变。
在学术界,研究焦点集中于算法创新与机制深化,不断拓宽该领域的认知边界。例如,冰岛大学的团队开发了「最优传输高斯过程」(OT-GP)算法,其核心在于采用智能数据筛选策略,仅用固定规模的训练数据就能高效工作。该算法将分子反应路径搜索的平均耗时从 28.3 分钟大幅缩短至 12.6 分钟,且成功率显著提升,为复杂体系的快速机理探索提供了新工具。
论文标题:Adaptive Pruning for Increased Robustness and Reduced Computational Overhead in Gaussian Process Accelerated Saddle Point Searches
论文链接:
https://doi.org/10.48550/arXiv.2510.06030
与此同时,瑞士苏黎世联邦理工学院(ETH Zurich)的研究团队结合从头计算分子动力学与增强采样方法,对分子筛与过渡金属催化反应中的关键氢转移与重排步骤进行了系统研究,揭示了反应通道随反应环境动态变化的机制特征,并提出了可用于指导催化剂理性设计的通用微观图景。
论文标题:Ab initio molecular dynamics with enhanced sampling in heterogeneous catalysis
论文链接:
https://pubs.rsc.org/en/content/articlelanding/2022/cy/d1cy01329g
产业界的实践则更注重将这些理论转化为实际生产力。以美国计算化学领域的代表性企业薛定谔(Schrödinger)为例,其开发的 AutoRW 自动化反应工作流,深度融入了化学本体论的结构化思维,实现了从反应枚举、路径映射到结果组织与输出的全流程自动化。
与此同时,德国化工巨头巴斯夫(BASF)与 IBM 的合作也展现了类似的技术融合路径。双方将化学本体论与量子化学计算、人工智能相结合,共同攻关高性能催化剂的研发。通过「知识引导 + AI 计算」的模式,不仅显著缩短了研发周期、降低了实验试错成本,也为聚氨酯材料在汽车、建筑等领域的应用奠定了坚实基础。
这些来自全球领先企业的实践,不仅验证了化学本体论与自动化计算相结合的普适价值,也通过跨地域、跨领域的技术协作,形成了从学术突破到技术转化、再到产业应用与需求反馈的良性循环,持续推动着全球化学工业走向更绿色、高效与智能的未来。
参考链接:
1.https://wp-stg.schrodinger.com/wp-content/uploads/2023/10/A4-22_111-Reaction-Workflow-Application-Note_R3-1-1.pdf
2.https://blog.csdn.net/cainiao080605/article/details/147259567
3.https://phys.org/news/2025-12-ai-mimics-human-intuition-explore.html


戳“阅读原文”,免费获取海量数据集资源!
内容中包含的图片若涉及版权问题,请及时与我们联系删除







评论
沙发等你来抢