DRUGONE
视网膜神经纤维层(RNFL)是一种无创、可规模化获取的结构性生物标志物,近年来被认为能够反映全身心代谢健康状况,但其背后的生物学机制仍不清楚。本研究整合高分辨率视网膜光学成像、人工智能算法与互补的代谢组学检测,在多民族人群中系统解析 RNFL 退变的代谢基础及其与死亡和心代谢疾病风险之间的关联。研究人员识别出一组与 RNFL 厚度显著相关的代谢标志物,并发现这些代谢特征在很大程度上介导了 RNFL 与多种心代谢结局之间的联系。基于此构建的 AI 驱动 RNFL 代谢状态模型,能够在不同人群、遗传背景和社会分层中有效分层疾病风险,并显著提升临床预测与决策价值。

视网膜作为中枢神经系统的一部分,因其光学透明性,为无创观察全身微血管与代谢状态提供了独特窗口。随着光学相干断层扫描(OCT)技术的发展,RNFL 的微米级结构变化可以被精准量化,使其逐渐成为评估心代谢疾病风险的潜在替代指标。
尽管已有研究表明 RNFL 变薄与糖尿病、心血管事件及死亡风险相关,但这种“眼—心代谢”关联的分子基础尚未明确。代谢异常是心代谢疾病发生发展的核心驱动因素,因此,系统刻画 RNFL 相关的代谢状态,有望揭示这一跨系统联系的生物学基础。

图1|研究整体设计概述。
方法概述
研究人员基于大规模前瞻性队列,构建了三类研究人群:
同时具备视网膜 OCT 扫描与代谢组数据的人群,用于识别 RNFL 相关代谢状态;
仅具备代谢组数据的人群,用于评估心代谢疾病与死亡结局;
独立外部队列,用于跨人群验证。
研究整合核磁共振与液相色谱–质谱两类互补代谢组学技术,系统刻画与 RNFL 厚度相关的代谢特征,并利用多种机器学习与深度学习模型构建 RNFL 代谢状态,用于疾病风险分层与预测。

图2|RNFL 相关代谢特征的识别与建模框架。
RNFL 相关代谢特征及其疾病关联
研究人员共识别出 26 种与 RNFL 厚度显著相关的代谢标志物,其中绝大多数与高密度脂蛋白(HDL)的组成、脂质转运及磷脂代谢密切相关。RNFL 越薄,往往对应更不利的脂质代谢特征。
在长期随访中,这些 RNFL 相关代谢标志物与多种心代谢结局(包括 2 型糖尿病、心肌梗死、心力衰竭、中风、全因死亡和心代谢死亡)显著相关。中介分析显示,这些代谢特征解释了 RNFL 与心代谢疾病风险之间相当比例的关联,提示存在共同的代谢基础。

图3|RNFL 代谢特征在多种心代谢结局中的风险分层能力。
AI 驱动的 RNFL 代谢状态与风险预测
基于 RNFL 相关代谢特征,研究人员构建了 AI 驱动的 RNFL 代谢状态模型。结果显示,按 RNFL 代谢状态分位数分组后,不同人群的疾病事件发生轨迹呈现出清晰分离,高风险与低风险人群之间的事件发生率差异可达数量级。
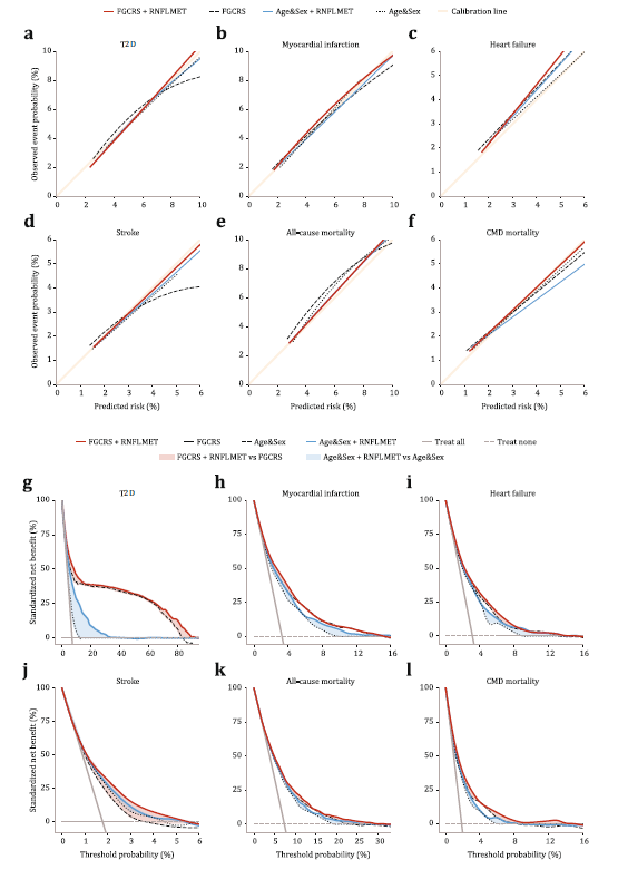
在预测性能评估中,仅使用 RNFL 代谢状态即可达到与多种传统风险模型相当甚至更优的表现;当其与年龄、性别或经典心血管风险评分模型结合时,预测能力和临床净获益进一步显著提升。

图4|RNFL 代谢状态在不同模型中的预测增益与临床效用。
健康不平等人群中的潜在获益
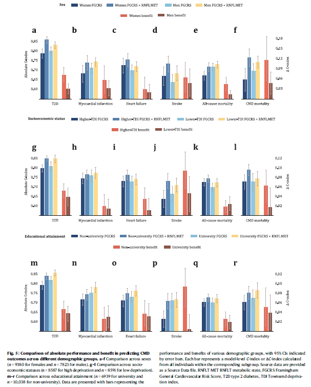
值得注意的是,RNFL 代谢状态在女性、社会经济地位较低以及受教育程度较低的人群中,带来了更显著的预测改善。这种改善在一定程度上缩小甚至逆转了传统模型中长期存在的预测差距,提示 RNFL 代谢状态可能捕捉到了被常规风险因子忽略的早期生物学信号。

图5|不同性别、社会经济与教育分层中的预测性能变化。
跨人群验证与机制启示
在独立的东方人群队列中,研究人员重复观察到 RNFL 与代谢特征及心代谢结局之间的一致关联,并通过更高灵敏度的代谢检测,进一步揭示了氨基酸代谢、抗氧化通路及脂质重塑等多条相关生物通路。
这些结果共同支持这样一个观点:RNFL 代谢状态反映了系统性代谢扰动在早期阶段对神经视网膜结构的影响,可作为全身心代谢风险的“下游读出”。

图6|独立人群中的 RNFL 代谢状态验证结果。
总结与展望
总体而言,本研究提出并验证了一种 AI 驱动的“视网膜—代谢—心代谢疾病”整合框架。RNFL 不仅是结构性影像标志物,更是具有代谢信息含量的窗口,能够在疾病发生前捕捉系统性代谢异常。
随着视网膜成像在基层医疗中的广泛应用,该研究为构建可扩展、无创、兼顾公平性的心代谢风险评估策略提供了新的可能性,也为未来“眼部表型驱动的系统医学”研究奠定了基础。
整理 | DrugOne团队
参考资料
Yang, S., Xin, Z., Li, H. et al. Artificial intelligence-driven metabolomics of retinal nerve fibre layer to profile risks of mortality and cardiometabolic diseases. Nat Commun 16, 11039 (2025).
https://doi.org/10.1038/s41467-025-66979-z

内容为【DrugOne】公众号原创|转载请注明来源
内容中包含的图片若涉及版权问题,请及时与我们联系删除


评论
沙发等你来抢