DRUGONE
对多体动力系统进行高精度、可解释且可实时的建模,是理解自然系统与工程系统行为的关键。传统基于物理的模型在复杂系统中难以扩展且计算代价高,而纯数据驱动方法(如图神经网络)往往缺乏物理一致性、可解释性和泛化能力。
研究人员提出 Dynami-CAL GraphNet,一种物理约束图神经网络,在模型结构中显式引入线动量与角动量守恒。该方法通过构建满足旋转等变、平移不变、节点置换反对称的边局部参考坐标系,在节点对之间强制满足牛顿第三定律,从而获得物理一致的动力学预测。在多种模拟与真实数据基准(颗粒碰撞、受约束多体系统、人体运动、蛋白分子动力学)上的评估表明,该模型在长时间滚动预测稳定性、外推能力和可解释性方面显著优于现有方法,为机器人、工程系统与分子动力学等领域提供了一种可推广的动力学建模框架。

动力系统广泛存在于自然界和工程系统中,例如颗粒流、分子动力学、行星运动,以及轴承、齿轮箱和人体骨骼系统等。对这些系统进行建模对于预测行为、系统设计和运行决策至关重要。然而,基于显式物理方程的建模通常依赖对相互作用机制的充分先验知识,且在复杂系统中计算成本高昂,难以用于实时推断。
近年来,图神经网络因其天然的结构归纳偏置,被广泛用于学习物理系统动力学。但仅依赖空间结构或几何对称性的模型,往往无法保证满足基本物理守恒定律,在长时间预测中容易产生误差累积。相比之下,能量守恒形式(如哈密顿或拉格朗日网络)在非保守系统中表现受限。
研究人员注意到,线动量与角动量守恒在存在耗散和外力的情况下仍然成立,是更具普适性的物理约束。因此,将这些守恒律直接嵌入图神经网络结构,有望同时兼顾表达能力与物理一致性。
方法
Dynami-CAL GraphNet 将多体系统表示为图结构:节点对应物体,边对应两两相互作用。模型采用“标量化–向量化”范式:首先在每条边上构建一个反对称的局部参考坐标系,将节点的速度和角速度等向量特征投影为与节点顺序无关的标量嵌入;随后将这些嵌入解码为反对称的内力向量、角动量交换向量以及力作用点,从结构上保证节点对之间的线动量和角动量守恒。通过多次消息传递迭代,模型在单个时间步内模拟“子时间步”演化,从而实现稳定的动力学预测。
结果
实验总体设置
研究人员在四类基准任务上评估模型性能,涵盖模拟与真实世界系统:六自由度颗粒碰撞、受约束多体系统、人体行走运动学以及蛋白分子动力学。所有模型均采用单步监督训练,并通过多步滚动预测评估长期稳定性。

图1|Dynami-CAL GraphNet 的整体架构与信息流示意图。
六自由度颗粒碰撞:长期稳定性
在封闭颗粒碰撞系统中,Dynami-CAL GraphNet 能够在长时间预测中稳定追踪动能衰减,并保持线动量与角动量演化的物理合理性。相比之下,基线模型在外推初始条件下出现明显发散。

图2|颗粒系统中长期滚动预测的能量与动量演化对比。
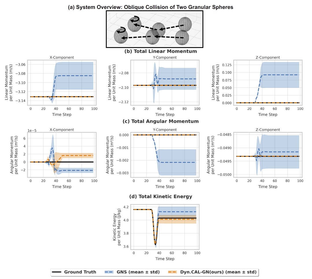
物理一致性验证:双球碰撞
在无外力条件下的双球斜向碰撞实验中,Dynami-CAL GraphNet 准确保持系统总线动量与角动量守恒,而其他模型则出现非物理偏差,甚至预测出动能非真实增长。

图3|双球碰撞中线动量与角动量守恒性的定量评估。
外推到复杂边界条件
研究人员将模型从平直边界的训练场景,直接外推至旋转圆柱混合器这一复杂工业级系统。即使粒子数量增加到两千以上,模型仍能准确预测颗粒分布和宏观混合行为。

图4|从平直边界到旋转圆柱边界的外推实验。
受约束多体系统
在包含刚性杆和铰链约束的多体系统中,Dynami-CAL GraphNet 在单步与多步预测中均优于现有等变图网络,且在未见拓扑结构上仍保持稳定动力学行为。

图5|受约束多体系统的预测误差与多步滚动表现。
人体运动预测
在真实的人体行走数据上,该模型无需显式的运动学约束,即可准确预测关节运动,并在多步预测中保持物理合理的姿态演化。

图6|人体行走数据上的单步与多步预测结果。
蛋白分子动力学
在溶剂环境下的蛋白分子动力学任务中,Dynami-CAL GraphNet 能同时捕捉局部原子波动和整体构象变化,并在多步滚动预测中表现出优异稳定性。

图7|蛋白主链构象随时间演化的预测与真实对比。
计算效率分析
尽管模型在每条边上执行更复杂的物理计算,但通过参数共享与结构设计,其推理效率与现有方法相当,适用于大规模系统的快速预测。

图8|训练与推理时间复杂度对比。
讨论
Dynami-CAL GraphNet 的核心优势在于,将线动量与角动量守恒作为结构性归纳偏置直接嵌入图神经网络,从而在非保守、含耗散和外力的系统中仍保持物理一致性。通过将每一条边视为局部封闭系统,模型在结构上遵循牛顿第三定律和诺特定理,显著提升了长期预测稳定性与泛化能力。
研究结果表明,该框架在颗粒材料、受约束机械系统、人体运动乃至分子尺度动力学中均具有广泛适用性。未来,将这一思想扩展到连续介质系统或部分观测系统,将为物理信息机器学习与工程建模提供新的研究方向。
整理 | DrugOne团队
参考资料
Sharma, V., Fink, O. A physics-informed graph neural network conserving linear and angular momentum for dynamical systems. Nat Commun (2026).
https://doi.org/10.1038/s41467-025-67802-5

内容为【DrugOne】公众号原创|转载请注明来源
内容中包含的图片若涉及版权问题,请及时与我们联系删除


评论
沙发等你来抢