导语


动物集体运动中涌现的集体智能现象,在不同物种中普遍存在,是复杂系统科学研究的重要课题。从集体行为中推断区分群体中的领导者和追随者,进而理解集体行为中领导-追随模式的形成和发展,对于理解人类社会的复杂集体行为、优化集群机器人行为逻辑、设计大规模分布式人机互动决策的算法,具有启发意义。来自圣塔菲研究所、华盛顿大学、克拉克森大学的合作团队,提出了一个数学分析框架,从多维度、多类型、广谱的角度剖析了集体行为中的领导力(leadership)。


关键词:集体运动,集体智能,涌现

Joshua Garland, Andrew M. Berdahl, Jie Sun, Erik M. Bollt | 作者

刘培源、刘志航 | 译者

邓一雪 编辑


 

论文题目:

Anatomy of leadership in collective behaviour

论文链接:
https://aip.scitation.org/doi/full/10.1063/1.5024395


目录

摘要

1. 概述

2. 一般数学框架

3. 领导力的主要组成部分

4. 验证领导力推断方法的模型沙盒

5. 后记




摘要



 
了解动物群体协调运动(集体运动)背后的机制,可以为它们的生物学和生态学提供关键的见解,同时也可以为生物启发的技术和自主系统的创新提供算法。越来越清楚的是,许多移动的动物群体由异质的个体组成,这些个体对群体行为的影响程度和类型各不相同。推断这种不同的影响或领导力的能力,对于理解这些集体动物系统中的群体功能至关重要。许多不同的度量和数学工具被用来描述和推理“领导力”,例如职位、因果关系、影响力和信息流。但一个关键问题仍然存在:这些概念中,哪一个(如果有的话)真正描述了领导力?我们认为,与其断言一个单一的定义或领导力概念,一个团体典型的复杂互动规则和动力学意味着领导力本身不仅仅是一个二元分类(领导者或追随者),而是许多不同成分的复杂组合。在本文中,我们对领导力进行了解剖,确定了几个主要组成部分,并提供了一个讨论领导力的一般数学框架。考虑到这一分类法的复杂性,我们提出了一套面向领导力的玩具模型,这些模型应该被用作未来领导力推理方法的试验场。我们相信,这种多层面的领导力分析方法将使我们能够更广泛地理解领导力,并从动物群体及其他方面的数据中推断领导力。

当观察动物群体的集体运动时(如鱼群、牛群或羊群),一个直接的问题是,领导结构是什么?谁(如果有的话)在负责,谁在跟随,这种结构是保持不变还是随时间变化?最近在图像处理和动物安装的传感器方面的技术进步,使得记录群体中单个动物的同时运动轨迹成为可能。如此丰富的数据,使得目前是在理解动物群体运动的领导结构方面取得进展的大好时机。尽管数据的可用性和理解集体运动中的领导力至关重要,但令人惊讶的是,很少有明确的数学描述,甚至没有一致且明确定义的方法来解决这个问题。在此,作为解决这一缺陷的第一步,我们构建了一个框架,用于讨论和推理集体运动中的领导力。我们回顾了领导力的各种来源和特征,为描述各种动物社会中领导力的多面性提供了一种剖析和语言。然后,我们提出了一套以领导力为重点的玩具模型,在被应用于(经验)数据之前,这些模型可以作为任何建议的领导力推断方法的试验场。总之,这为有原则地探索一个长期存在的问题奠定了基础:集体系统的控制权是如何分配的?这样的理解不仅有助于群居物种的生态学和保护,而且也有助于设计新兴分布式技术的控制策略和算法。




1. 概述



 
移动的动物群体(如羊群、牛群、鱼群、蜂群)在自然界中无处不在。在这样的集体系统中,个体之间的相互作用可能与个体本身的特征一样重要[1]。洞察这些相互作用及其对群体动力学的影响,对于我们理解这些系统的生态学[2]以及一般复杂系统的设计和控制原则[3]都具有根本的重要性。

研究动物集体行为的一个关键挑战是了解生物群体如何作为一个整体作出决定[4],例如,关于去哪里[5]或何时[6、7]。群体决策过程从专制到共享权力[8]不等,即使在共享权力或分布式决策的系统中,也可能存在个体间的差异(如性别、等级、个性、大小、营养状态、信息状态),产生不对称的影响。模型表明,这种异质性对群体层面的动力学有潜在的重要性[9,10],虽然研究人员经常尝试从经验数据中推断不同的影响力和领导力,但这一直是一个公开的挑战。正如我们在本文中详细阐述的那样,应对这一挑战的关键一步在于认识到领导力的概念不仅仅是一个简单的、单维的概念。相反,不同类型和形式的领导力常常并存,甚至在同一个系统中也是如此。因此,我们认为,对领导力进行“正确”推断的一个前提步骤是澄清所寻求的领导力的(类型)。没有这一点,任何推断的领导力都有可能被认为是不合适的。

区分领导力的定义和推断的必要性是一个核心的突出问题,部分原因是技术进步的加速使得大数据的收集成为可能。例如,收集一个移动动物群体所有成员的同时轨迹的新技术[11],以及计算能力的提高,使不久的将来成为迎接这一挑战的富有成效的时机。仅仅拥有大量的现实世界的数据还不足以解决有关领导力的问题,我们仍然需要概念上的进步。正如最近Strandburg-Peshkin等人所回顾的那样[12],大多数推断领导力的努力都使用了群体中的位置[13-16](例如,假设领导在前面)、领导者-追随者的动态关系[17,18]或时间延迟的方向性关联[24-26]。然而,本文的一个核心观点是,任何领导力的测量都需要从澄清我们所追求的特定类型或形式的领导开始。如果没有这样的澄清,应用任何推断方法得出的领导力都可能被误解,也许更严重的是,会导致对动物系统的互动机制产生根本性的错误结论。

为了说明领导力的许多方面,需要区分其定义和测量方法,例如考虑迁徙驯鹿的情况。年长的、更有经验的个体被认为迁移的者[27];然而,怀孕或哺乳期的雌性驯鹿可能有更多的营养需求[28] ,从而引导沿着该路径向有更好觅食机会的栖息地迁移[29]。因此,谁在引导取决于所考虑的运动的时间和距离尺度。此外,对一些种群来说,秋季迁徙与发情期相吻合,因此交配行为推动了社会互动:一只占优势的雄性可能试图驱赶雌性或赶走其他雄性。这样的雄性肯定是有影响力的,但也许不应该总是被认为是领导者,至少在迁徙的背景下是这样。最后,一个人是否是领导者可能取决于谁(或哪个群体)被认为是潜在的追随者。一个正在哺乳(因此不能生育)的雌性动物可能会被好色的雄性动物忽视,但会被她的小鹿紧紧跟随[30]。由于影响/领导地位有许多尺度和类型,我们认为应该以一个明确的问题开始这种探索,并仔细选择与之相匹配的分析方法。

本文的核心目标是开发一种正式的语言和多层次的框架,用于定义和(潜在的)推断领导力的许多方面。此外,我们旨在提供一套面向领导力的玩具模型,作为领导力推断方法的试验场。因此,我们的工作为研究人员提供了一种实用的语言和一套工具,希望能够将有关领导力的问题与适当的方法相匹配,同时避免潜在的陷阱。我们希望数学的严谨性、生物的直觉以及一些真实的和合成的例子的结合将使我们的框架对生物学家和应用数学家来说都是容易理解和感兴趣的。




2. 一般数学框架



 
为了捕捉各种形式的领导力,考虑个体的动力学(他们之间通过网络进行潜在的互动)以及由个体决定的群体的动力学,由普通微分方程(ODEs)的一般形式建模:


在这个一般的模型类别中,代表第i个个体在时间的状态。是编码交互结构的网络的(与时间相关的)邻接矩阵(也称为社会性矩阵),其中如果j有可能(直接)影响i的状态,则。此外, 表示与i相关的参数(向量)是噪声。这里的参数可以是描述群体中个体异质性的任何东西。例如,在Viscek模型中[31],参数可以表示个体的偏好方向,也可以用来表示个体之间可能存在的速度差异,或者通过给每个个体关联一个参数向量来表示两者。函数f模拟每个个体的动力学如何取决于他们自己的状态和参数、网络中其他个体的状态以及噪声。最后,群体的状态是由个体的状态通过函数h决定的;例如,取将群体状态定义为个体状态的平均值。

另一个互补的观点是将个体和群体的动力学建模 / 表示为一个多变量的随机过程,重点是静止变量。从这个角度来看,群体变量和变量之间的关系被编码为条件分布函数 :


其中表示系统的时间历史,考虑到的时滞。

我们指出,动力学系统[如公式(1)所定义的系统]和随机过程之间有密切的联系,一般是通过一个基本的(遍历式)度量[32],其中与变量状态相关的不确定性一般与初始条件的分布和噪声有关,此外还有耦合的动力学。对于一个确定的系统,随机性完全来自于选择和确定初始条件的(实验)不完善,不确定性的演变可以被视为一个随机的过程。因此,熵的方法甚至与其他确定的动力学系统自然地联系在一起,公式(1)是以相关的随机过程为基础的。

从动态的随机表示(2)中,我们可以用各种形式的条件互信息(CMI)来定义一个个体(观察到的)对群体的影响。例如,(无条件的)互信息(MI)


衡量直接和间接因素i对该群体的明显影响。另一方面,在剔除间接因素后,i对群体的“净”影响可以用条件互信息(CMI)来衡量


其中。正如James等人最近建议的那样[33],公式(4)可能无法完全反映影响;因此,在以这种方式量化净影响时,应该注意。

注意公式(1)本身并不能唯一地确定公式(2)中的分布,因为系统可能会因初始条件、参数和其他因素而出现不同的状态 / 轨迹;如果我们想讨论唯一性的话,遍历性和固定参数是可能的假设。方程(1)可以解释为对个体之间可能的相互作用进行建模,尽管这些相互作用在特定的环境中可能实现,也可能不实现,这取决于系统运行的状态;另一方面,方程(2)中的偏微分方程编码了群体变量和个体变量之间的(内在)依赖性,不一定与方程(1)中的结构信息相匹配,即使这种依赖性来自方程(1)的动力学。

接下来,我们对系统的内在状态与观察到的状态进行区分,因为在对任何过程进行数学解释时,包括群体的领导作用,一个关键的方面是对观察物的测量概念,从基本的过程来看。事实上,领导力和信息流的概念可以被极大地掩盖,这取决于相对于基础系统(内在变量)的观察物(外在变量)的细节。我们用来表示关于的观察状态,同样地,表示关于的观察状态。我们在一个有限的时间窗口上表示观察结果,产生观察数据:


对领导力的正确定性和解释需要(主观)确定一个参考框架,即选择(可观察的)变量、群体以及时间和空间尺度。也就是说,我们认为,定义这样一个框架至少需要包括做出以下三个选择。

1.  变量(例如,位置、速度、加速度、运动方向,或这些的一些组合)。根据对变量的选择,不同类型的领导力可以被定义和(潜在的)识别。

2. 时间分辨率和时间滞后。所关注的行动的时间分辨率是什么(例如,秒,天,或年)?此外,还有一个时间滞后的问题。一个行动被认为在多远的将来会有潜在的影响?如果时间滞后大于对个人行动的典型反应的时间尺度,那么每个人看起来都会对其他人产生类似的随机影响。另一方面,太小的时间滞后可能会妨碍检测群体对个人行动的(延时)动态反应。

3. 群体的定义和它所代表的内容。例如,一个群体可以包含一个空间领域内的所有个体,也可以是基于年龄、性别等的某一类个体。




3. 领导力的主要组成部分



 
从广义上讲,我们将领导力定义为具有不对称潜力的个人,以影响群体中主体的轨迹。正如我们在下文中所探讨的,这种不对称的影响的来源可能是由于群体结构、个人信息或者仅仅是社会互动规则所产生的。此外,由此产生的领导力的分布和时间及距离尺度可能有很大的不同。在本节中,我们构建了一系列的信息分类,我们将其称为领导力的组成部分。我们进一步将这些组成部分划分为领导力的来源和特征。

A. 领导力的来源


1. 结构性型领导力

结构性领导力(Structural leadership)包括广泛的领导力类型,它从根本上依赖于动物社会的结构。这种结构可以是明确的统治等级,也可以是由于半永久性特征(如年龄、性别、生殖状况)造成的不平等的社会影响而更加微妙。根据特定的分类群,这种不对称的相互作用的驱动机制是不同的,推导这样的机制不是本文的目的。为简单起见,我们假设所有这些丰富的社会结构都已预先编码在公式(1)定义的社会性矩阵中。具体来说,当且仅当j有能力领导i,其中“领导能力”由特定的社会来定义。

为了正式确定领导力的这个组成部分,让是与社会性矩阵S相关的有向图,其中如果,则存在一条从ji的边。对于每个节点,将节点的可达性集合表示为。特别是,如果在中存在一条从k的有向路径,则节点k就是的成员。如果,那么就被定义为具有结构领导能力。我们将具有非零的结构性领导能力(在社会性矩阵上有一个非空的可达性集合)的个体集合定义为L。当然,一个个体作为结构性领导的程度存在于一个连续体上。量化这种领导力的强度是一项高度非琐碎的、可能是特定系统的任务(例如,参考文献[34-36])。然而,首先,在社会性矩阵中,下游个体多而上游个体少的个体将倾向于发挥更强的领导作用,或者至少有潜力这样做。

在介绍中的驯鹿例子中,我们可能期望在发情期发现雄性之间强烈的等级关系。随着这些等级关系在社会性矩阵中的编码,占优势的雄性将被标记为强大的结构性领导,而较弱的雄性将是各种可达性集合的成员。在同样的例子中,如果哺乳期的后代紧紧跟随它们的母鹿,那么母鹿就会表现出对其小鹿的结构性领导。最后,请注意,虽然母鹿是小鹿的结构性领导,但她可能会受到优势雄性的影响;使这个母鹿同时成为结构性领导和追随者,使雄性成为小鹿的间接结构性领导。因此,“领导者与追随者”的二元分类一般是不合适的。

为了进一步说明这一点,请考虑图1中Nagy等人[19]所描述的鸽群中等级动态的典型例子。在这个例子中,假设这个经验测量的网络是结构性领导的结果,节点CJ没有结构领导能力,因为它们的可达性集是空的。然而,所有其他节点都有能力领导至少一个其他个体,因此都有一定程度的结构领导能力。请注意,除了节点A之外,剩下的每个人都既领导又跟随,也就是说,它们有非空的可达性集合,也是其他个体的可达性集合的成员。它们的结构领导能力的强弱将大致反映它们在图1中的垂直位置。

图1. 鸽群中的等级领导。根据Nagy等人的定义,定向边从有影响力的个体指向他们所影响的个体[19 ],例如,倾向于领导 ,而没有领导任何人。


结构性领导力只是一个动物社会的成员按照社会规则的要求领导该社会的其他成员的能力。从这个意义上说,结构性领导力应该更多地被看作是流动动物群体内发生领导力的一个必要条件,但不是充分条件。然而,在现实中,领导力的这一组成部分是相当重要的,因为它编码了特定的一对个体之间互动的潜在异质性,以及群体中更普遍的等级制度。

2. 知情型领导力

当群体中的一个子集获得不同的信息并有动机根据该信息采取行动时,就会产生知情型领导,例如,群体中的一个子集感觉到了某种资源[37,38],或拥有关于迁移路线的信息[5,39]。这种领导力可能是匿名的[9],也可能表明他们拥有信息,例如,通过改变速度[40]或发出信号[41]。

在我们的迁徙驯鹿的案例中,领导大规模迁徙运动的有经验的个体和对当地食物和捕食线索做出反应的个体,都是知情型领导的补充例子。

知情型领导力通常产生于一些潜在的意图或动机,如饥饿或恐惧。由于这个原因,虽然知情领导的概念在直觉上是合理的,但从数学的角度来看,它既难以定义,也许也不可能在没有系统的额外知识的情况下准确推断。

3. 目标驱动型领导力

目标驱动型领导力是知情型领导力的一个特定子集。目标驱动型领导是一种知情的领导(“通过目标知情”),它使用一系列有意的控制输入,如呼叫和明确的动作,来引导群体走向一个特定的目标状态或一组目标状态。然而,并非所有的知情领导都是目标驱动的。例如,当一群动物中的一个个体检测到捕食者时,该个体会变得“知情”并试图离开,而这种突然的运动变化可能会导致群体中的其他成员跟随。在这种情况下,第一个反应的个体表现出知情型领导力,但它唯一的“目标”(如果有的话)是远离捕食者,而不是试图带领整个群体远离捕食者。

更准确地说,我们把目标驱动型领导者描述为一个不仅影响群体,而且有意控制群体走向某种目标状态的个体。此外,移除这样的个体应该导致群体不朝着目标状态前进。在数学上,我们对这个部分的定义如下。鉴于是一组目标状态,那么,如果i对群体的净影响[见公式(4)]非零,则个体i是一个目标驱动的领导者(就而言)。


也就是说,个人直接影响整个团体,这种影响的结果是团体朝着目标状态前进。目标驱动型领导者的一个例子是牧羊犬。这些狗跑在一群羊的后面,通过一系列有意的信号,如吠叫、眼神接触和身体姿势,狗故意控制羊群走向一个给定的目标状态,如谷仓或田野。

4. 涌现型领导力

在没有社会结构或差异化信息的情况下,不对称的影响以及领导力可能仅仅来自于社会互动规则;我们称之为涌现型领导力。如果动物使用各向异性的社会互动规则,就会出现这种情况。例如,当个体受到在他们前面的其他个体的影响更大时,那么在群体中处于更前面位置的个体就更有影响力,即使他们没有额外的信息、动机或地位。最近在我们的迁徙驯鹿的例子中,已经证明了这种涌现型领导力的存在[30]。

另一种情况是,如果个体受移动速度较快的群体伙伴的影响较大[42],那么这些移动速度较快的个体将具有更大的影响力。如果这些个体移动得更快是对信息的反应,或者是为了发出支配地位的信号,那么这将分别是知情型的或结构性领导,但如果速度的增加纯粹是群体动力学的功能,这将是一个涌现型领导力的例子。

B. 领导力的特点


1. 领导力的分布

在动物群体中,决策范围从完全分配给所有群体成员(“民主”)到由一个或几个人主导(“专制”)[8,12]。量化在团队中担任领导角色的个人数量可能会提供信息。类似于参考文献[12]。我们将其称为领导力的分部,我们将其定义为介于集中式领导和分布式领导之间的一个连续体。centralized and distributed leadership)

在整个牧群的规模上,我们可能期望我们的迁徙驯鹿属于这个光谱上的某个地方,一端是有首领个体的灵长类社会,另一端是无首领的分裂融合的鱼群。如果我们把母鹿和小鹿对看作是子群体,我们会期望母鹿是一个集中的领导者。然而,在一个包含许多这样的配对的大群体中,我们会期望母鹿之间共享分布式领导。图1中的鸽子群例子说明,许多系统处于这两个极端之间。在这个例子中,几乎所有的个体都有一定的影响力,但它有一个明确的等级制度,所以它不是完全分散的;因此它介于集中式和分布式之间。

2. 领导力的时间尺度

一个领导者可能不会在任何时候都积极地影响其他个体的运动,因此,量化和理解领导者在任何一个情境下都有资格成为领导者的时间尺度是有用的。在这里,我们考虑两个时间尺度的概念--一致性和粒度。在下面的讨论中,我们考虑个体的动力学,用离散时间观测值表示。

领导力的一致性被简单地定义为领导者有资格成为领导者的观察时间窗口的比例。更具体地说,如果领导者在整个时间窗口内都被认定为领导者,我们就将其归类为在观察窗口内的持久性/一致性。相反,如果一个领导者只在某个小的时间窗口内被确定为领导者,我们就把它归为短暂的,其中。参考文献[12]中提出了一个类似的时间领导力量表,其范围从可变到一致,但试图捕捉相同的概念。

领导力的粒度涉及到个体作为领导的时间步骤的分辨率。例如,一个负责日常活动的领导可能与一个负责季节性活动的领导不同。我们可以通过改变我们考察动态的时间步骤来检查粒度。特别是,只用观测大的k值, (k>1)来量化领导力。如果一个领导者只在粗粒度的基础上行动,那么他们可能不会在小的𝑘时作为领导者,但随后可能在一些较大的k时作为领导者。与此相反,细粒度的领导者可能在小的k时为领导者。

在我们的迁徙驯鹿的例子中,有经验的个体领导着广泛的迁徙路径,表现出持久的领导力,但也许具有粗粒度。相比之下,那些对沿途资源或捕食威胁做出反应的动物的领导力是短暂的,具有细粒度。

对于那些试图从时间序列中推断领导角色的人来说,时间尺度带来了一些挑战。如果颗粒度或观察窗口长度与领导力的自然时间尺度不一致,那么领导力事件可能会被完全遗漏或错误分类。例如,考虑一个结构性领导,其属性为,即一个不直接影响群体的结构性领导——尽管它有可能。无论采用何种推理方法,这样的潜在领导者总是会被错误地分类。同样地,考虑一个知情型的领导者,只有当他们在已知资源的某个半径范围内时才会领导。假设这个事件只发生在一个很短的时间窗口,其中。如果我们只考虑在整个观察窗口中领导的领导者,那么大多数的综合衡量标准将掩盖掉这样一个短暂的领导事件。由于这些原因,通过研究数据集的子样本,仔细考虑一致性,以及通过对数据进行向下取样和重新测试的粒度,人们可能会得到一个更清晰的关于移动的动动物群体中存在的领导的图景。

3. 领导力的范围

领导者的影响力量化了领导者直接或间接通过后续互动对群体成员的潜在影响。从形式上看,我们将领导者的影响力定义为该领导者在与特定领导力来源相关的网络上的可达性集合的成员。具体来说,让是一个网络,如果j有能力领导i,则存在一条从节点j到节点𝑖的有向边,其中领导力可以是结构性的、涌现型或知情型的领导。那么,个体𝑖的可达性就是i上的可达性集合。

考虑到图2,图中表示结构性领导的潜力。在这个例子中,个体有一个的可达性集合,因此这7个个体都在结构领导者的范围之内。影响力自然是在局部和全局之间的一个连续体。如果一个个体对所有的个体都体现了某种形式的领导力,这将是全局性的影响;如果一个人只领导群体中的一些小子集,那么这个领导者就被认为是局部的。在图2中,个体𝐴具有全局影响力,个体I具有局部影响力。

图2. 个体领导力的覆盖范围。每个带红圈的节点都在可达性集合内,因此也是个体的可及范围。


就我们的迁徙驯鹿案例而言,有经验的迁徙者带领整个鹿群走在宽广的迁徙道路上,会有全局性的影响,而母鹿带领她的小鹿走在更细粒度的范围内,会有局部的影响。

4. 领导力的可观察性

当我们观察一个动物社会时,我们是不完美的,主要表现在两个方面。首先,任何观察到的数量都会受到噪声和测量误差的影响。其次,也许更重要的是,社会中可能有一些元素没有被观察到。这种隐藏的变量和状态可能反过来在我们对领导力的解释和推断中起作用。事实上,如果数据不合适,最强大的领导力可能无法被发现。在各种分类中,领导力可能使用声音提示[43,44]、手势[45]、或过于精细而无法被GPS发现的运动(如飞行前的拍打翅膀[46])来启动或控制群体运动。如果所产生的运动是同步的,基于轨迹的领导力推断很可能会失败。更糟糕的是,如果在所产生的运动中,最不占优势的个体首先对提示作出反应,那么就会显得这些个体在领导。

在我们的迁徙驯鹿的案例中,领先的个体可能会站起来发出离开的信号,或者激励其它个体开始移动。这不会被GPS标签捕捉到,因此对于仅基于轨迹的推理方法来说是无效的。

在实践中,对隐匿的领导力进行量化,从定义上来说是相当困难的。也就是说,如果人们检测到了领导力,它就被观察到了。然而,在理论上这样做是非常微不足道的。正如第二节所定义的那样,我们通过(或是这些的一些混合)定义整个系统的动力学。当系统被观察时,观察到的变量,即,可能与真实变量不同。如果一个个体表现出内在变量所定义的领导力,但在观察变量下似乎没有这样做,我们称之为“隐藏的”领导角色。一个没有被隐藏的领导者就被称为可观察的领导者。

C. 现实世界的动物行为和领导力的剖析


在这里,我们讨论现实世界的动物互动,并以强调我们的领导力分类剖析学术语的方式进行讨论。

我们希望在相对稳定的动物群体中找到结构性领导,这些群体通常具有复杂的社会等级,如鲸类、狼、野狗、大象和灵长类动物[15,47-50]。典型的例子是灵长类社会中所谓的首领个体,它在很长一段时间内对整个群体有一定程度的控制(假设社会是稳定的)。值得注意的是,在这种社会中,结构性领导很可能与知情型领导相关联。例如,一头母象可能对很少有人光顾的水坑有更好的信息,同时也有更大的均值影响力来带领她的群体去那里。

我们预计,在由不相关的个体和不稳定的成员组成的动物群体中,如鱼群和鸟群,知情型领导会占主导地位。一个鱼群中的单个任意成员可能会察觉到一个威胁,使它周围的人也感到惊愕,或者整个群体做出规避动作[52]。这是一个集中的、短暂的、知情领导的例子,其影响范围是有限的还是全局性的,取决于群体中有多少个体做出反应。同样,同一鱼群的一些人可能拥有关于食物资源可能出现的地点或时间的信息,并带领整个鱼群去那个时空位置。

知情型领导在长的距离尺度的运动中也很常见。在鸽群中,消息灵通的个体在归巢飞行中充当领导者[54]。(然而,应该注意的是,鸽子也表现出一种结构层次。) 在迁徙过程中,年长的、更有经验的鸟类引导群体走有效的迁徙路线[5,39]。在这两个例子中,知情的鸟类是集中的、持久的、目标驱动的、具有全局影响力的知情型领导者。

在迁徙的白鹳中,一些个体积极寻找热力上升气流,这是它们获得有效升力以完成迁徙的必要条件,而其它个体则倾向于模仿,向已经处于热力中的个体移动。这是一个被称为“突发感应”[5]的一般现象的具体例子,在这种现象中,一个群体跨越一个环境梯度,梯度的“首选”一端的个体改变它们的行为(有意或无意),使整个群体跨越梯度[41,56]。一般来说,这种领导力将是分散的和短暂的(尽管可能是持久的,如果像白鹳一样,同样的个体总是找到热源),具有全局影响力的知情型领导者。




4. 验证领导力推断方法的模型沙盒



 
最终,人们希望能够开发出从经验数据中推断和分类领导力的方法。这当然是一个长期的、非比寻常的挑战,一个务实的方法是首先在模拟数据上测试推断方法,在这些数据中,领导力类型和分布是已知的,因为它是明确编程的。对于移动的动物群体来说,一个明显的出发点是修改经典的群体行为模型(例如,参考文献[31,57,58]),以包括已知的领导结构。在本节中,我们首先描述一个典型的集体运动模型--所谓的分区模型(zonal model)[9,58]。随后,我们修改该模型以纳入本文描述的各种领导力来源和特征。

A. 基本的集体运动模型


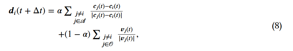
按照Couzin等人的说法[9,58],对于每个个体,编号为每个时间t,都有一个“集体运动”模型,由向量、方向向量和速度被保持。在每个时间步上,个体𝑖根据三个不同区域的邻居计算出一个期望的方向,如图3所示:

图3. 带状蜂群模型示意图。黑色的三角形是焦点个体。红色的环标志着排斥区R。蓝色圆圈是定向区O,焦点个体试图与这个区域的个体(图中的蓝色三角形)对齐。外圈是吸引区A,焦点个体试图靠近这些个体(图中的绿色三角形)。然后,产生的期望方向是绿色和蓝色矢量的总和。


第一个要考虑的区域被称为排斥区,用R表示。这个区域确保每个个体的“个体空间”得到保持。如果任何其他代理处于排斥区R,对焦点个体来说,那么在下一个时间步骤中的期望方向定义为:


这个理想的方向确保了在时间时不会发生碰撞。然而,如果对焦点个体来说,,那么焦点个体就会试图接近其吸引区的个体,并与它们定向区的个体一起定向。这是通过在时间选择一个期望的方向来实现的,方法如下:


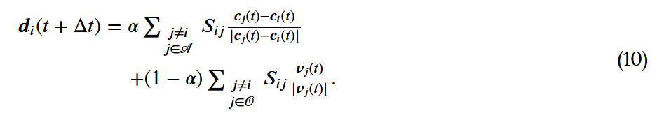
其中α是一个参数,控制吸引和排列的相对强度。例如,一群鹅(以排列为主)会有一个相对较低的α,而一群昆虫(以吸引为主)会有一个相对较高的α

所需的方向矢量d被归一化为单位矢量:


接下来,为了表示源于感官和认知能力限制的不确定性,该单位向量被转化为,将其旋转一个小角度,从以零为中心的圆形包裹的高斯分布中抽取。最后,假设个体在单位时间内的最大转弯速度为θ弧度。因此,如果一个个体的当前方向与它在下一时间步长的期望方向之间的差异,小于,那么就达到了期望方向,。否则,该个体的方向是将旋转向其期望的方向的结果。

在航向分配完毕后,在的位置可以通过以下方式计算出来:


其中,是个体i的速度。

B. 明确增加领导力的来源


虽然这个基础模型捕捉了各种各样的群体行为,但它没有明确说明领导力来源。为了测试领导力推断方法,对这个基础模型做一些简单的修改是有帮助的:(1)增加一个社会性矩阵[59](结构性领导力),(2)在群体中增加“知情”个体[9](知情型领导力),以及(3)使互动规则各向同性[58](涌现型领导力)

1. 结构性领导力

为了纳入结构性领导,我们引入一个社会性矩阵,如果个体i能被个体j影响。更一般地说,是一个连续值,给出了个体j对个体j的相对影响。为了考虑到这一点,理想方向的计算被修改为对每个邻居相对于的影响进行加权,而不是对中的每个人进行等额加权),即:


将这个社会性矩阵添加到基础模型中,就可以明确地将结构性领导力包含在内。这是一个优势,因为人们可以在事后看看放在模型中的结构性领导力是否可以通过一个候选推断方法提取出来。

2. 知情型领导力

为了模拟知情型领导力,个体的一个子集被赋予首选方向的“知识” (例如,这个首选方向可以代表一条迁徙路线或一个猎物或已知资源的方向)[9]。不知情的群体成员对没有了解,可能知道也可能不知道哪些个体是知情的。按照Couzin等人的观点[9],为了将其纳入模型,知情个体在社会互动和他们的首选方向之间用一个加权项𝜔进行平衡。特别是,知情的个体有一个期望的方向,由以下公式给出:


果 ω=0,则完全忽略了首选方向,只遵循社会互动。当ω向1增加时,首选方向的影响与社会互动的影响就会平衡。随着ω>1时,首选方向比社会互动更受青睐。

3. 涌现型领导力

做一个推断涌现型领导力的测试案例的一个方法是使互动在空间上不对称。特别是,我们可以简单地在公式(7)-(9)中描述的模型中加入“盲区”[58]。在这种情况下,区域会有部分盲区,这些盲区中的个体被忽略了。如果这些盲区足够大,个体就会更多地受到他们前面的个体的影响[30]。

C. 测试领导力的特征


1. 领导力的分布

使用前几节中介绍的框架,可以探索从集中式到分布式的各种领导分布[12]。对于结构性领导力,范围可以从具有中心结构(集中式)的社交矩阵到具有随机连接,甚至完全连接(去中心化)。对于知情型领导力,具有非零值的群体部分将大致跨越领导分布的范围。我们注意到结构性领导和知情型领导的分布可能是正交的。例如,一个团队可以拥有高度集中的结构领导,同时拥有完全分布式的信息领导,反之亦然。

2. 领导力的时间尺度

领导力的时间一致性和粒度可以通过使与领导力相关的模型参数与时间相关来建立,例如,以及。例如,我们可以通过定义时变的,在固定的时间间隔内移除或改变首选方向,然后再看推断算法是否能检测到这种变化。

3. 领导力的范围

通过设置社会性矩阵的具体例子,人们可以实验各种领导力的达成情况,并测试各种推断措施恢复的能力。

4. 领导力的可观察性

这里提出的框架有大量的变化,可以对领导力由非轨迹的线索或信号驱动的可能性进行编码[43-46,60]。一个明显的例子(在自然界也是无处不在的)是听觉信号,它可以提供远距离的互动。

D.一个潜在的陷阱:影响力vs.领导力


考虑一个移动的动物群体,每个成员都受公式(9)支配,方向由公式(7)和(10)决定。此外,定义否则为0,,并让。这描述了一个简单的链式拓扑结构,其中每个个体都有能力对最多一个其它个体进行结构性领导。特别是,每个个体直接定向并吸引到(跟随)群体中最多一个其它个体。然而,需要注意的是,每个个体都要避免与所有其他个体发生碰撞[社会性矩阵适用于公式(10),但不适用于公式(7)]

在这个例子中,偶然的社会互动,如由排斥引起的互动,对大多数影响 / 因果推断算法构成了严重的挑战。例如,如果盲目地应用最优因果熵[26]或转移熵[61]来推断谁领导谁,那么这些算法会得出一个所有个体对所有个体的领导网络。然而,根据结构,我们知道这是不正确的,潜在的影响网络是一个简单的链条。这里的问题是,这些措施[26,61],以及一般的信息因果推断,都不是明确地测量领导力,而是减少对某个特定变量的不确定性。在这个例子中,微小的局部排斥作用随着时间的推移引起了足够的“信息流”来触发这些算法/措施。然而,正如附录中所讨论的,将影响力、信息流、因果关系和领导力混为一谈是一个非同寻常的挑战,本例很好地强调了这一点。




5. 后记



 
传统的领导力推断方法主要集中在一个单一的定义性特征上,例如,在一个团体中的地位、社会等级、信息流或影响力。我们认为,一般来说,这些概念中没有一个能单独完全抓住领导力。在这篇文章中,我们表明,对领导力的多个层面进行分析的多元方法提供了一个更完整的领导力结构分类。这种形式主义应该有助于将有关经验系统的问题,并与解决这些问题的适当分析工具联系起来。虽然我们提供的这个分类法肯定是不完整的,但我们希望这一努力能够作为一个起点,将领导力定义和推断的多面性方法正规化。

传感器、计算机视觉方面的多种技术进步导致了比以往任何时候都更多的高分辨率集体运动数据的出现[11]。因此,不久的将来是在领导力推断方面取得有意义的进展的一个好时机。因果推断和信息论在这一领域很有前途,但正如我们在本文中所展示的,领导力是一个高度复杂和多面的主题,无论是因果推断还是信息论都无法单独完成这一任务。我们希望,随着新的推理算法的出现,这里开发的正式语言和玩具模型将作为一个试验场。我们相信,当实践者和理论家开始处理所有可用的高分辨率数据时,能够仔细地对被推断的领导力成分进行分类将是非常宝贵的。

附录:信息流、因果关系、影响力和领导力

信息论为严格量化概念提供了复杂的测量方法,例如“减少给定过去状态Y的当前状态X的不确定性”。因此,这些衡量标准通常与信息流、因果关系、影响力甚至领导力等概念相关联——而且所有这些术语通常都可以互换使用。这些措施通常被视为不太主观的推理方法,因为几乎不需要对所观察系统的结构或动态做出假设。因此,信息论已成为从时间序列推断领导力的流行工具[19–26,62]。然而,虽然影响力、信息流和因果关系都与领导力的概念密切相关,但这些概念本质上是不同的,因此不容易互换。此外,最近的工作已经开始表明,这些信息措施甚至无法捕获信息流[33],更不用说领导力了。

下面的附录讨论了信息流、因果关系和影响,并提供了为什么我们不相信仅凭这些中的任何一个就可以充分量化领导力的原因。

信息流和熵,正如我们在以前的数学作品中所论证的那样[24,32,63 ],是耦合(动态)系统的一个基本概念,以及相关的随机过程。信息论,正如在香农熵及其变体上制定的那样,基本上描述了一个人在观察一个随机变量的特定值或状态时应该归因于的平均“惊喜”。更正式地说,这种惊喜或(非)可预测性的量化被称为“熵”,可以严格地定义为基础概率分布的函数。当考虑到多个变量的时间演变时,一个变量的状态往往取决于一组相关变量的历史,这种变量间的依赖关系可以被看作是”信息流“。耦合系统中信息流的明确表征可以通过量化一个人在给定的先前观察条件下测量观察的信息量(同样作为惊喜的概念)来完成,这就产生了常用的措施,如转移熵[61]和因果关系熵[26,64,65]。换句话说,信息流描述了与过去各种组合的条件有关的预测的不确定性的减少。因此,无论是通过格兰杰因果关系[66]、转移熵[61]、因果熵[26,64,65,67],还是其他一些方法,我们的想法是要问,如果知道了一个可能的耦合变量的过去,不确定性是否会减少。显然,这个问题从科学或数学的广泛的科学领域是普遍适用的。然而,本文的部分主题是,这些信息流概念本身并不充分或等同于领导力。

因果关系是一个与信息流相关但不相同的概念。因果关系的概念有很多解释,取决于上下文,从哲学的[68-70],到统计学的[71-75],到动力学的[61,64,66,76]。在这里,我们将完全避免哲学方向,但要注意其中一些确实与其他方向相吻合。统计学的观点有时与随机过程有关,特别是来自Pearl的有影响力的工作[71-73],与理解干预的微积分有关,但不一定与我们的背景有关。我们对理解因果影响的解释更感兴趣,一个自由运行的系统,也就是一个被动观察而不是主动探测的系统。因此,这与随机过程中的信息流概念关系更密切,几乎是同义的,但不完全相同。我们采取了与格兰杰相同的观点,他的推理最终导致了2003年诺贝尔经济学奖的颁发;格兰杰的基本原则是:(1)原因发生在结果之前;(2)原因必然包含关于其结果的未来状态的独特信息[66]。详细来说,所谓的格兰杰因果关系是一种假设为线性随机过程的特定计算,因此,它被证明[76]完全等同于在具有高斯噪声的线性随机过程的特殊情况下,通过其他手段(在信息论中通过适当的条件的库尔贝克-列布勒分歧)计算的转移熵。所以说,虽然格兰杰的基本原则是相同的,但计算的细节可能不同。

影响力可以在这个形式化的框架内被描述为与领导力有关,但又有些不同,这取决于我们是否从信息论、减少不确定性或其他一些基本原则的角度来联系个体之间的互动,包括控制系统的潜在目标。考虑到一个群体中的一些个体可能是领导者,对这句话的各种解释方式将在随后的下文中陈述。例如,对领导力的衡量可能与信息流有关,或者作为因果影响的代表,领导可能会在其他代理人之前改变状态,这个概念将类似于先有因后有果。一个群体中具有影响力的成员不一定被解释为领导者,尽管在某种意义上,影响力是一种事实上的领导力,因为影响力相当于导致他人改变其行为的可能性(动力学)

那么说,从信息流的角度来看,影响力、因果关系和领导力之间的区别是什么?在一些解释中,对他人的影响或因果关系和领导力几乎是同义的,但有重要的区别。如果从减少不确定性的角度来看待领导力(因此可以通过因果推理和信息流来衡量),那么因果关系和影响就成为领导力的同义词。因此,如果一个领导行为是积极的、可观察的,那么因果关系和信息流就是核心概念,使人们能够对领导力进行定义和经验上的评分。然而,还有一些领导力的概念,显然超出了信息流的范围。在正文中,通过使用领导力的分类法,我们超越了典型的因果关系和信息流概念[24,25,37],以允许那些通过狭义的熵解释可能被忽略的特征,包括结构、个体的知情程度、分布、时间和空间尺度以及目标驱动是我们将在此讨论的一些其他方面。

参考文献

1. T. Vicsek and A. Zafeiris, “Collective motion,” Phys. Rep. 517, 71–140 (2012).  https://doi.org/10.1016/j.physrep.2012.03.004,

2. P. A. Westley, A. M. Berdahl, C. J. Torney, and D. Biro, Collective movement in ecology: From emerging technologies to conservation and management,” Phil. Trans. R. Soc. B 373, 20170004 (2018).  https://doi.org/10.1098/rstb.2017.0004,

3. P. W. Anderson, “More is different,” Science 177, 393–396 (1972).  https://doi.org/10.1126/science.177.4047.393,

4. L. Conradt and T. J. Roper, “Consensus decision making in animals,” Trends. Ecol. Evol. (Amst.) 20, 449–456 (2005).  https://doi.org/10.1016/j.tree.2005.05.008,

5. A. M. Berdahl, A. B. Kao, A. Flack, P. A. Westley, E. A. Codling, I. D. Couzin, A. I. Dell, and D. Biro, “Collective animal navigation and migratory culture: From theoretical models to empirical evidence,” Philos. Trans. R. Soc. B 373, 20170009 (2018).  https://doi.org/10.1098/rstb.2017.0009,

6. B. Helm, T. Piersma, and H. Van der Jeugd, “Sociable schedules: Interplay between avian seasonal and social behaviour,” Anim. Behav. 72, 245–262 (2006).  https://doi.org/10.1016/j.anbehav.2005.12.007,

7. A. Berdahl, P. A. Westley, and T. P. Quinn, “Social interactions shape the timing of spawning migrations in an anadromous fish,” Anim. Behav. 126, 221–229 (2017).  https://doi.org/10.1016/j.anbehav.2017.01.020,

8. L. Conradt and T. J. Roper, “Group decision-making in animals,” Nature 421, 155 (2003).  https://doi.org/10.1038/nature01294,

9. I. D. Couzin, J. Krause, N. R. Franks, and S. A. Levin, “Effective leadership and decision-making in animal groups on the move,” Nature 433, 513–516 (2005).  https://doi.org/10.1038/nature03236,

10. M. d. M. Delgado, M. Miranda, S. J. Alvarez, E. Gurarie, W. F. Fagan, V. Penteriani, A. di Virgilio, and J. M. Morales, “The importance of individual variation in the dynamics of animal collective movements,” Philos. Trans. R. Soc. B 373, 20170008 (2018).  https://doi.org/10.1098/rstb.2017.0008,

11. L. F. Hughey, A. M. Hein, A. Strandburg-Peshkin, and F. H. Jensen, “Challenges and solutions for studying collective animal behaviour in the wild,” Philos. Trans. R. Soc. B 373, 20170005 (2018).  https://doi.org/10.1098/rstb.2017.0005,

12. A. Strandburg-Peshkin, D. Papageorgiou, M. C. Crofoot, and D. R. Farine, “Inferring influence and leadership in moving animal groups,” Philos. Trans. R. Soc. B 373, 20170006 (2018).  https://doi.org/10.1098/rstb.2017.0006,

13.  J. E. Smith, S. Gavrilets, M. B. Mulder, P. L. Hooper, C. El Mouden, D.  Nettle, C. Hauert, K. Hill, S. Perry, A. E. Pusey, M. van Vugt, and E.  A. Smith, “Leadership in mammalian societies: Emergence, distribution, power, and payoff,” Trends Ecol. Evol. (Amst.) 31, 54–66 (2016).  https://doi.org/10.1016/j.tree.2015.09.013,

14. J. S. Lewis, D. Wartzok, and M. R. Heithaus, “Highly dynamic fission–fusion species can exhibit leadership when traveling,” Behav. Ecol. Sociobiol. 65, 1061–1069 (2011). https://doi.org/10.1007/s00265-010-1113-y,

15. L. J. Brent, D. W. Franks, E. A. Foster, K. C. Balcomb, M. A. Cant, and D. P. Croft, “Ecological knowledge, leadership, and the evolution of menopause in killer whales,” Curr. Biol. 25, 746–750 (2015).  https://doi.org/10.1016/j.cub.2015.01.037,

16. D. M. Jacoby, Y. P. Papastamatiou, and R. Freeman, “Inferring animal social networks and leadership: Applications for passive monitoring arrays,” J. R. Soc. Interface 13, 20160676 (2016).  https://doi.org/10.1098/rsif.2016.0676,

17. A. Strandburg-Peshkin, D. R. Farine, I. D. Couzin, and M. C. Crofoot, “Shared decision-making drives collective movement in wild baboons,” Science 348, 1358–1361 (2015).  https://doi.org/10.1126/science.aaa5099,

18. J.-B. Leca, N. Gunst, B. Thierry, and O. Petit, “Distributed leadership in semifree-ranging white-faced capuchin monkeys,” Anim. Behav. 66, 1045–1052 (2003).  https://doi.org/10.1006/anbe.2003.2276,

19. M. Nagy, Z. Akos, D. Biro, and T. Vicsek, “Hierarchical group dynamics in pigeon flocks,” Nature 464, 890–893 (2010).  https://doi.org/10.1038/nature08891,

20. Z. Ákos, R. Beck, M. Nagy, T. Vicsek, and E. Kubinyi, “Leadership and path characteristics during walks are linked to dominance order and individual traits in dogs,” PLoS Comput. Biol. 10, e1003446 (2014).  https://doi.org/10.1371/journal.pcbi.1003446,

21. L. Jiang, L. Giuggioli, A. Perna, R. Escobedo, V. Lecheval, C. Sire, Z. Han, and G. Theraulaz, “Identifying influential neighbors in animal flocking,” PLoS Comput. Biol. 13, e1005902 (2017).  https://doi.org/10.1371/journal.pcbi.1005822,

22. I. Watts, M. Nagy, R. I. Holbrook, D. Biro, and T. B. de Perera, “Validating two-dimensional leadership models on three-dimensionally structured fish schools,” R. Soc. Open. Sci. 4, 160804 (2017).  https://doi.org/10.1098/rsos.160804,

23. H. Ye, E. R. Deyle, L. J. Gilarranz, and G. Sugihara, “Distinguishing time-delayed causal interactions using convergent cross mapping,” Sci. Rep. 5 (2015). https://doi.org/10.1038/srep14750,

24. W. M. Lord, J. Sun, N. T. Ouellette, and E. M. Bollt, “Inference of causal information flow in collective animal behavior,” IEEE Trans. Mol. Biol. Multi-Scale Commun. 2, 107–116 (2016).  https://doi.org/10.1109/TMBMC.2016.2632099,

25. S. Butail, V. Mwaffo, and M. Porfiri, “Model-free information-theoretic approach to infer leadership in pairs of zebrafish,” Phys. Rev. E 93, 042411 (2016).  https://doi.org/10.1103/PhysRevE.93.042411,

26. J. Sun, D. Taylor, and E. M. Bollt, “Causal network inference by optimal causation entropy,” SIAM. J. Appl. Dyn. Syst. 14, 73–106 (2015).  https://doi.org/10.1137/140956166,

27. N. Thorpe, N. Hakongak, S. Eyegetok, and the Kitikmeot Elders, Thunder on the Tundra: Inuit Qaujimajatuqangit of the Bathurst Caribou (Generation Printing, Vancouver, 2001).

28. P. S. Barboza and K. L. Parker, “Allocating protein to reproduction in arctic reindeer and caribou,” Physiol. Biochem. Zool. 81, 835–855 (2008).  https://doi.org/10.1086/590414,

29. L. Conradt, J. Krause, I. D. Couzin, and T. J. Roper, “Leading according to need in self-organizing groups,” Am. Nat. 173, 304–312 (2009).  https://doi.org/10.1086/596532,

30. C. J. Torney, M. Lamont, L. Debell, R. J. Angohiatok, L.-M. Leclerc, and A. M. Berdahl, “Inferring the rules of social interaction in migrating caribou,” Philos. Trans. R. Soc. B 373, 20170385 (2018).  https://doi.org/10.1098/rstb.2017.0385,

31. T. Vicsek, A. Czirók, E. Ben-Jacob, I. Cohen, and O. Shochet, “Novel type of phase transition in a system of self-driven particles,” Phys. Rev. Lett. 75, 1226 (1995).  https://doi.org/10.1103/PhysRevLett.75.1226,

32. E. M. Bollt and N. Santitissadeekorn, Applied and Computational Measurable Dynamics (SIAM, 2013).

33. R. G. James, N. Barnett, and J. P. Crutchfield, “Information flows? A critique of transfer entropies,” Phys. Rev. Lett. 116, 238701 (2016).  https://doi.org/10.1103/PhysRevLett.116.238701,

34. J. C. Flack and D. C. Krakauer, “Encoding power in communication networks,” Am. Nat. 168, E87–E102 (2006).  https://doi.org/10.1086/506526,

35. E. R. Brush, D. C. Krakauer, and J. C. Flack, “A family of algorithms for computing consensus about node state from network data,” PLoS Comput. Biol. 9, e1003109 (2013).  https://doi.org/10.1371/journal.pcbi.1003109,

36. C. De Bacco, D. B. Larremore, and C. Moore, “A physical model for efficient ranking in networks,” arXiv preprint arXiv:1709.09002 (2017).

37.  A. Strandburg-Peshkin, C. R. Twomey, N. W. Bode, A. B. Kao, Y. Katz, C.  C. Ioannou, S. B. Rosenthal, C. J. Torney, H. S. Wu, S. A. Levin, and  I. Couzin, “Visual sensory networks and effective information transfer in animal groups,” Curr. Biol. 23, R709–R711 (2013).  https://doi.org/10.1016/j.cub.2013.07.059,

38. S. G. Reebs, “Can a minority of informed leaders determine the foraging movements of a fish shoal?” Anim. Behav. 59, 403–409 (2000).  https://doi.org/10.1006/anbe.1999.1314,

39. T. Mueller, R. B. O’Hara, S. J. Converse, R. P. Urbanek, and W. F. Fagan, “Social learning of migratory performance,” Science 341, 999–1002 (2013).  https://doi.org/10.1126/science.1237139,

40. K. M. Schultz, K. M. Passino, and T. D. Seeley, “The mechanism of flight guidance in honeybee swarms: Subtle guides or streaker bees?” J. Exp. Biol. 211, 3287–3295 (2008).  https://doi.org/10.1242/jeb.018994,

41. C. J. Torney, A. Berdahl, and I. D. Couzin, “Signalling and the evolution of cooperative foraging in dynamic environments,” PLoS Comput. Biol. 7, e1002194 (2011).  https://doi.org/10.1371/journal.pcbi.1002194,

42. B. Pettit, Z. Ákos, T. Vicsek, and D. Biro, “Speed determines leadership and leadership determines learning during pigeon flocking,” Curr. Biol. 25, 3132–3137 (2015).  https://doi.org/10.1016/j.cub.2015.10.044,

43. K. J. Stewart and A. H. Harcourt, “Gorillas’ vocalizations during rest periods: Signals of impending departure? ”Behaviour 130, 29–40 (1994).  https://doi.org/10.1163/156853994X00127,

44. D. Fossey, “Vocalizations of the mountain gorilla (Gorilla gorilla beringei),” Anim. Behav. 20, 36–53 (1972).  https://doi.org/10.1016/S0003-3472(72)80171-4,

45. J. M. Smith and D. Harper, Animal Signals (Oxford University Press, 2003).

46. J. M. Black, “Preflight signalling in swans: A mechanism for group cohesion and flock formation,” Ethology 79, 143–157 (1988).  https://doi.org/10.1111/j.1439-0310.1988.tb00707.x,

47. A. J. King, C. M. Douglas, E. Huchard, N. J. Isaac, and G. Cowlishaw, “Dominance and affiliation mediate despotism in a social primate,” Curr. Biol. 18, 1833–1838 (2008).  https://doi.org/10.1016/j.cub.2008.10.048,

48. K. Payne, Sources of Social Complexity in the Three Elephant Species (Harvard University Press, 2003).

49. R. O. Peterson, A. K. Jacobs, T. D. Drummer, L. D. Mech, and D. W. Smith, “Leadership behavior in relation to dominance and reproductive status in gray wolves, canis lupus,” Can. J. Zool. 80, 1405–1412 (2002).  https://doi.org/10.1139/z02-124,

50. D. Lusseau and L. Conradt, “The emergence of unshared consensus decisions in bottlenose dolphins,” Behav. Ecol. Sociobiol. 63, 1067–1077 (2009). https://doi.org/10.1007/s00265-009-0740-7,

51. J. C. Flack, M. Girvan, F. B. De Waal, and D. C. Krakauer, “Policing stabilizes construction of social niches in primates,” Nature 439, 426 (2006).  https://doi.org/10.1038/nature04326,

52. S. B. Rosenthal, C. R. Twomey, A. T. Hartnett, H. S. Wu, and I. D. Couzin, “Revealing the hidden networks of interaction in mobile animal groups allows prediction of complex behavioral contagion,” Proc. Natl. Acad. Sci. 112, 4690–4695 (2015).  https://doi.org/10.1073/pnas.1420068112,

53. K. N. Laland and K. Williams, “Shoaling generates social learning of foraging information in guppies,” Anim. Behav. 53, 1161–1169 (1997).  https://doi.org/10.1006/anbe.1996.0318,

54. A. Flack, B. Pettit, R. Freeman, T. Guilford, and D. Biro, “What are leaders made of? The role of individual experience in determining leader–follower relations in homing pigeons,” Anim. Behav. 83, 703–709 (2012).  https://doi.org/10.1016/j.anbehav.2011.12.018,

55. M. Nagy, I. D. Couzin, W. Fiedler, M. Wikelski, and A. Flack, “Synchronization, coordination and collective sensing during thermalling flight of freely migrating white storks,” Philos. Trans. R. Soc. B 373, 20170011 (2018).  https://doi.org/10.1098/rstb.2017.0011,

56. A. Berdahl, C. J. Torney, C. C. Ioannou, J. J. Faria, and I. D. Couzin, “Emergent sensing of complex environments by mobile animal groups,” Science 339, 574–576 (2013).  https://doi.org/10.1126/science.1225883,

57. C. W. Reynolds, “Flocks, herds and schools: A distributed behavioral model,” in ACM SIGGRAPH Computer Graphics (ACM, 1987), 21, pp. 25–34.

58. I. D. Couzin, J. Krause, R. James, G. D. Ruxton, and N. R. Franks, “Collective memory and spatial sorting in animal groups,” J. Theor. Biol. 218, 1–11 (2002).  https://doi.org/10.1006/jtbi.2002.3065,

59. N. W. Bode, A. J. Wood, and D. W. Franks, “The impact of social networks on animal collective motion,” Anim. Behav. 82, 29–38 (2011).  https://doi.org/10.1016/j.anbehav.2011.04.011,

60. C. R. Brown, M. B. Brown, and M. L. Shaffer, “Food-sharing signals among socially foraging cliff swallows,” Anim. Behav. 42, 551–564 (1991).  https://doi.org/10.1016/S0003-3472(05)80239-8,

61. T. Schreiber, “Measuring information transfer,” Phys. Rev. Lett. 85, 461–4 (2000).  https://doi.org/10.1103/PhysRevLett.85.461,

62. D. Darmon, E. Omodei, and J. Garland, “Followers are not enough: A multifaceted approach to community detection in online social networks,” PLoS ONE 10, e0134860 (2015).  https://doi.org/10.1371/journal.pone.0134860,

63. E. M. Bollt, “Synchronization as a process of sharing and transferring information,” Int. J. Bifurcat. Chaos 22, 1250261 (2012).  https://doi.org/10.1142/S0218127412502616,

64. J. Sun and E. M. Bollt, “Causation entropy identifies indirect influences, dominance of neighbors and anticipatory couplings,” Phys. D: Nonlin. Phenom. 267, 49–57 (2014).  https://doi.org/10.1016/j.physd.2013.07.001,

65. C. Cafaro, W. M. Lord, J. Sun, and E. M. Bollt, “Causation entropy from symbolic representations of dynamical systems,” Chaos: Interdiscip. J. Nonlin. Sci. 25, 043106 (2015).  https://doi.org/10.1063/1.4916902, Scitation, ISI

66. C. W. Granger, “Testing for causality: A personal viewpoint,” J. Econ. Dyn. Control 2, 329–352 (1980).  https://doi.org/10.1016/0165-1889(80)90069-X,

67. J. Sun, C. Cafaro, and E. M. Bollt, “Identifying the coupling structure in complex systems through the optimal causation entropy principle,” Entropy 16, 3416–3433 (2014).  https://doi.org/10.3390/e16063416,

68. B. Russell, Mysticism and Logic (New Statesman, 1913).

69. B. Russell, Human Knowledge: Its Scope and Its Limits (Simon & Schuster, New York, 1948).

70. J. Bigelow and R. Pargetter, “Metaphysics of causation,” Erkenntnis 33, 89–119 (1990).  https://doi.org/10.1007/BF00634553,

71. J. Pearl and T. S. Verma, “A theory of inferred causation,” in Studies in Logic and the Foundations of Mathematics (Elsevier, 1995), Vol. 134, pp. 789–811.

72. J. Pearl, “Bayesian networks” (2011), available at https://escholarship.org/uc/item/53n4f34m.

73. J. Pearl, “The structural theory of causation,” in Causality in the Sciences (Clarendon Press, Oxford, 2011), pp. 697–727.

74. B. Skyrms and W. L. Harper, Causation, Chance and Credence: Proceedings of the Irvine Conference on Probability and Causation (Springer Science & Business Media, 2012), Vol. 1.

75. D. A. Freedman, “Linear statistical models for causation: A critical review,” Encyclopedia Stat. Behav. Sci. (2005).  https://doi.org/10.1002/0470013192.bsa598,

76. L. Barnett, A. B. Barrett, and A. K. Seth, “Granger causality and transfer entropy are equivalent for gaussian variables,” Phys. Rev. Lett. 103, 238701 (2009).  https://doi.org/10.1103/PhysRevLett.103.238701,


(参考文献可上下滑动查看)



群体智能读书会


如果你对这些反直觉但极有用的现象感兴趣——从蚁群搭桥、鱼群同步、到无人机集群表演、集群机器人协作、群智优化与多智能体系统、网络舆论建模研究等——欢迎加入「群体智能」读书会:我们用动物—人类—机器三条线,希望把群体智能的涌现这件事讲清楚、讲透彻;用物理学、数理逻辑、多主体建模、计算传播等多学科视角,去追问同一个核心:集群何以比个体更聪明?群体智能又在何时涌现?


集智俱乐部联合北京师范大学系统科学学院韩战钢教授、暨南大学计算传播研究中心赵甜芳副教授、新疆大学物理科学与技术学院玉素甫·艾比布拉副教授等来自11所高校的学者,共同发起本次「群体智能」读书会,尝试用一条普适的线索,把自然界的鸟群蚁群、人类社会的集群行为、以及人工智能时代的多智能体与群智优化,放在同一张地图上重新理解。读书会自2026年1月17日开始,安排在每周六下午 14:00–16:00,欢迎所有对群体智能如何涌现、如何被理解、以及如何被设计,感兴趣的朋友一起加入:带着问题来,带着更有趣的问题去。



详情请见:生物、机器与社会的群体智能——11所高校联合发起的群体智能读书会




推荐阅读
1. 对谈:从动物群体行为到大脑空间决策,复杂性如何启发智能探索?
2. 简单生物如何形成复杂认知?昆虫智能启发群体智能与集群机器人
3. 群体行为:简单个体的复杂智能 | 集智百科
4. 系统科学前沿十讲:探究复杂世界演变背后的规则(二)
5. 集智学园精品课程免费开放,解锁系统科学与 AI 新世界

6. 高考分数只是张入场券,你的科研冒险在这里启航!

7. 加入集智字幕组:成为复杂科学知识社区的“织网人”


图片
点击“阅读原文”,报名读书会

内容中包含的图片若涉及版权问题,请及时与我们联系删除