鹭羽 发自 凹非寺
量子位 | 公众号 QbitAI
一哥就有一哥样。
真够顶的!刚刚,国内AI云老大哥阿里云整了波大的——
一口气上线Qwen3.5、GLM-5、MiniMax M2.5、Kimi K2.5四大顶尖开源模型。
要不说阿里云动作够快的,刚一复工,就把春节档最强模型们全兜住了。

而这四款模型,显然也很有说法:
阿里原生的Qwen3.5以小胜大,刷新全球“源”神新高度。不仅横扫同级开源模型,面对Gemini-3-Pro、GPT-5.2等顶级闭源模型也毫不逊色,一举登顶Hugging Face开源大模型榜单。
MiniMax M2.5专为Agent而生,复杂办公场景表现出色,直接带动MiniMax港股激增。
Kimi K2.5则是多模态和编程能力突出,上线近20天累计收入就已超过2025年Kimi全年总和。
GLM-5更是供不应求,发布前代号Pony Alpha就热度空前,发布后长任务表现持续领先,编程能力比肩Claude Opus 4.5。
而这些夯爆了的模型,都第一时间齐聚阿里云。

阿里云这边也同样诚意满满,不仅提供模型API,还同步推出Coding Plan订阅服务。
Token量大管饱,新用户低至首月7.9元,即可在Qwen Code、Claude Code、Cline,以及最近大火的OpenClaw等工具间无缝切换顶级模型。
这性价比杠杠的。
更开放还更便宜,本次春节大模型之战,最后的大赢家还得看阿里云。
四大模型齐聚一堂
毫无疑问,在本次Coding Plan升级中,最亮眼的莫过于四款顶尖模型。那么话不多说,咱们先来细说它们被阿里云选中的理由~
毕竟据量子位不完全统计,从今年第一天到除夕,就有超30起大模型更新事件,那么为什么阿里云为开发者们首选了这四个呢?
首先是月之暗面在1月27日发布的Kimi K2.5。

作为K2系列的进阶版,它是Kimi迄今为止最智能也最全能的模型。原生多模态架构设计,能够直接理解图像和视频内容,并将其应用在复杂的逻辑推理中。
视觉审美一流,并与代码能力结合。用户只需上传一张网页截图,Kimi K2.5就能自动生成高度还原的、带有动态效果的前端代码,还能通过截取局部图实现代码更新。
或者直接一句指令,就能输出具有交互功能的完整网页。
另外,Kimi还引入了大规模智能体集群,在面对复杂任务时,可自动调度出上百个子智能体并行工作。
尤其是在处理需要1500次工具调用的超大规模任务时,速度相比单智能体模式可提升4.5倍。
△图片来自月之暗面
紧接着的是2月11日发布的MiniMax M2.5。
它的定位是原生Agent生产级模型,和Kimi K2.5一样,能够同时驱动多个子Agent并行处理任务,同时使用更少的对话轮次,例如在BrowseComp测试中,模型评分显著提升(76.3%)。
MiniMax M2.5还深度学习了专业场景知识,支持生成带公式和图表的Excel财务模型、专业排版的PPT以及高质量Word文档、研报等。
编程能力对标行业一流,同时具备原生Spec能力,在写代码前,它能够像人类架构师一样主动拆解架构、规划功能模块。
△图片来自MiniMax
而在MiniMax M2.5发布同天,备受瞩目的GLM-5也是千呼万唤始出来。
它通过超大规模的MoE架构,彻底解决了长程任务的逻辑一致性问题。
在编程基准测试SWE-Bench Verified中取得77.8%的成绩,超过了Gemini 3 Pro,逼近Claude 4.5 Opus。具备后端重构、深度调试(Debugging)、跨文件逻辑修改等全流程开发能力。
GLM-5在Agent上同样表现优秀,可以就模糊指令完成自主规划步骤并调用外部工具,开发者还能实时看到Agent调用参数。
内置有专门的思考模式开关,在面对AIME 2026等复杂逻辑推理任务时,会先内部进行CoT推理再输出答案,以大幅度降低逻辑幻觉。
△图片来自智谱
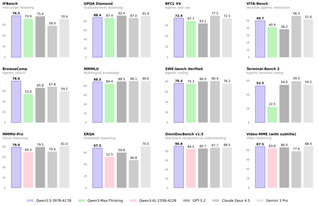
最后是除夕压轴登场的Qwen3.5,也是阿里最新一代旗舰级大模型。
作为Qwen家族新成员,在延续以往开源优势的同时,实现了极低算力消耗下,性能全面对标GPT-5.2和Gemini-3-Pro。
而且总参数只有3970亿,激活仅需170亿,性能却比万亿参数的Qwen3-Max还要强。更直观的是,部署显存占用降低60%,最大推理吞吐量提升19倍,达成大模型效率和成本双双优化。
百万Tokens低至8毛,相当于Gemini-3-pro的1/18。
再具体看基准测试结果。在推理、编程、智能体等核心维度上,Qwen3.5再创新高。

例如,在考核综合认知能力的MMLU-Pro测试中,千问3.5得分87.8分,超过GPT-5.2;在博士级难度的GPQA上斩获88.4分,比以严谨逻辑著称的Claude 4.5还要高;在Agent能力上也是全面发力,BFCL-V4和Browsecomp评分均全面超越Gemini-3-Pro。
能力强、价格低、还开源,也难怪Qwen3.5一出,就成为近期最受开发者欢迎的开源大模型。
而上述这些各有所长的顶级模型们,现在齐刷刷聚集阿里云,也是给予开发者自由选择的便利。
尤其是那些过年期间忙着干饭,还没来及追行业动态的开发者们,现在阿里云直接能一站式购齐了。(doge)

价格造福开发者
既然是开工福利,阿里云也给咱们把价格打下来了。
众所周知,OpenClaw这类Agent工具是Token“黑洞”。为了让Agent深度理解,必须反复读取整个项目内容,而每多一轮对话,上下文就会呈指数级堆叠。
Agent在写代码时往往也是比较盲目的,经常需要反复报错修改,这就导致Token消耗极快。
而阿里云专门为此推出的Coding Plan,能够让模型按需使用Token,有效减低使用成本。
具体来说,阿里云Coding Plan在本次升级中,走的是加量不加价路线。Lite基础套餐每月可最多18000次请求,新用户首月购买仅需7.9元,比2折还低。
高级版Pro套餐,每月更是可狂揽90000次请求,上千次复杂任务都不在话下,非常适合企业级用户。价格方面,首月也同样低至39.9元,一杯全家福奶茶的价格。

至此,加上新增的四款模型,阿里云Coding Plan目前共支持8款顶尖编程模型,包括阿里自研的Qwen3.5-Plus、Qwen3-Max、Qwen3-Coder-Next、Qwen3-Coder-Plus,以及第三方的GLM-5、GLM-4.7、Kimi-K2.5、MiniMax-M2.5。
所有模型统一计费、额度共享,订阅后均可实现自由切换。
妥妥的国内AI云服务最强组件。
不止Coding Plan,其所在的阿里云百炼平台也迎来持续增强,全家桶式接入了百余款国内外主流模型API。
企业无需分别对接几十家公司的API,只需百炼一个入口,就能根据业务场景灵活使用,比如财务审计可以用GLM-5,文案创意用Qwen3.5。

还有400多个AI硬件、短视频及广告内容等领域的Agent模板与服务,企业无需再从零开发,而是按需调用,工程应用时间缩至最短。
它为开发者们提供了一整套“需求分析→编程开发→逻辑测试→部署运维→监控追踪”的开发链路,实现了低门槛的闭环工程化跨越。
为什么是阿里云?
其实四大顶流模型同框齐聚阿里云这事,真挺活久见的。
其它云厂商要么只推自家模型,要么零散接入少数第三方,像阿里云这番海纳百川,也是业内头一份了。
而且这四款个顶个的都是广受好评的开源旗舰款,刚落地就被阿里云带走,归根结底还是阿里云自身实力够硬,强强联合,实现1+1>2。

作为亚太第一的云厂商,阿里云能做到这点,离不开技术与商业的双重突破。
首先阿里云拥有超大规模的智算集群,能提供万卡级别的并行训练算力。对于第三方模型,阿里云不仅能提供稳定的GPU资源,还可通过软硬协同加速推理过程,从而降低模型部署的运维成本。
阿里云也是国内最早提出模型即服务(MaaS)概念的。打造的一站式开发平台阿里云百炼提供了开发包容的集成环境,也便于模型厂商直接接触到最迫切的用户群体。

更关键的一点是,阿里云已经拥有相当成熟的用户生态。长期以来的开源路线让阿里云拥有了一批忠实的付费客户,旗下的魔搭社区更是汇聚了数百万开发者。
与此同时,入驻阿里云也就意味着模型厂商能够直接对接阿里背后的数十万企业级客户,海量的场景生态是大模型最好的练兵场。
自此,阿里云构建起“算力-集成-生态”三位一体的飞轮效应,所以能吸纳来这么多优质的大模型加入,也是情理之中。

而对于阿里自身,选择开放,也是它们长期以来从大模型到云服务一以贯之的战略逻辑。
阿里清晰地认识到,AI时代没有一家公司能垄断全部模型。与其把第三方当作对手,不如将自己作为底层操作系统,承载着全部AI大模型一同起飞。
换言之,从互联网时代到AI时代,阿里的初心从未改变,就是为用户提供最好用的产品。
所以年后复工第一站,选择阿里云看来还真不戳~
一键三连「点赞」「转发」「小心心」
欢迎在评论区留下你的想法!
— 完 —
🌟 点亮星标 🌟
内容中包含的图片若涉及版权问题,请及时与我们联系删除





评论
沙发等你来抢