
导语
“集智百科精选”是一个长期专栏,持续为大家推送复杂性科学相关的基本概念和资源信息。作为集智俱乐部的开源科学项目,集智百科希望打造复杂性科学领域最全面的百科全书,欢迎对复杂性科学感兴趣、热爱知识整理和分享的朋友加入,文末可以扫码报名加入百科志愿者!

↑↑↑扫码直达百科词条

陈力 | 作者
作者简介

目录
1. 历史
2. 简介
2.1 问题背景
2.2 核心思想
3. 主要内容
3.1微分形式与推导
3.2解析解与S形曲线
3.3方程的性质
3.3.1逻辑斯谛系数与调节机制
3.3.2不动点与稳定性
3.3.3拐点与最大增长速率
3.4离散形式的逻辑斯谛方程
3.5推广
4. 应用
4.1生态学与人口学
4.2医学:流行病传播模型
4.3化学与物理学
4.4经济学、语言学、社会学与技术创新扩散
4.5机器学习:逻辑斯谛回归与激活函数
逻辑斯谛方程(Logistic Equation),又称逻辑斯谛增长模型,是一种描述在有限资源环境下种群规模增长的S形曲线数学模型。该模型由比利时数学家皮埃尔·弗朗索瓦·韦尔霍斯特(Pierre François Verhulst)于19世纪提出,如今已成为生态学、生物学、化学、人口学、经济学、地球科学、心理学、社会学、政治学、语言学、统计学、医学和机器学习等多个领域的核心模型之一。
逻辑斯谛方程的数学表达式为:
,是基于种群规模的增长率(
)与当前种群规模(N)成正比,同时也与环境容纳量(K)和当前种群规模之差(K- N)成正比的科学假设。
1. 历史
1. 历史
逻辑斯谛方程的历史发展跨越两个世纪,融合了人口学、生物学和数学的交叉研究:
· 理论奠基:逻辑斯谛函数由比利时数学家皮埃尔·弗朗索瓦·韦尔霍斯特在1838年至1847年间发表的三篇论文中系统提出并发展。他在阿道夫·凯特勒(Adolphe Quetelet)的指导下,将其作为对指数增长模型的调整,用于描述人口增长。韦尔霍斯特在1838年的论文中首次提出了逻辑斯谛方程的微分形式,其中包含了由环境承载能力决定的种群平衡点[1]。1845年,他正式将方程的解曲线命名为“逻辑斯谛曲线”(图1)[2]。1847年,他在第三篇论文中对比利时人口增长模型的修正项进行了调整[3]。韦尔霍斯特选用“逻辑斯谛”一词,可能源于古希腊语λογῐστῐκός(logistikós,意为“计算”),该词指代古希腊数学的一个分支,大致相当于应用数学,以区别于线性(算术)增长和对数(几何/指数)增长,意在暗示其增长模型比一次函数和指数函数更贴合实际。

图1. 指数增长(Exponential growth)和逻辑斯谛增长(Logistic growth)。图片来源:https://upload.wikimedia.org/wikipedia/en/1/1c/Population_growth.png
· 重新发现与推广:韦尔霍斯特的工作在当时并未引起广泛关注。直到1920年,美国生物学家雷蒙德·珀尔(Raymond Pearl)和洛厄尔·里德(Lowell J. Reed)在研究果蝇种群增长和人口问题时独立重新发现了这一方程,并提出了现在广为流传的形式。他们的工作使得该方程在生物学界广为人知,因此该方程有时也被称为韦尔霍斯特-珀尔方程或“阻碍增长方程”[4]。
· 实验验证与理论拓展:1911年,安德森·格雷·麦肯德里克(Anderson Gray McKendrick)首次将逻辑斯谛方程用于描述肉汤中细菌的生长,并通过非线性参数估计进行了实验测试[5]。1925年,数学生物学家阿弗雷德·洛特卡(Alfred James Lotka)也独立推导出该方程,称其为“种群增长律”[6]。
· 混沌理论发展:随着20世纪系统科学和混沌理论的发展,该方程的离散形式——逻辑斯谛映射被深入研究。罗伯特·梅(Robert M. May)在1976年发表于《自然》杂志的论文《简单数学模型中的复杂动力学》中[7],系统阐述了这一简单非线性方程如何产生复杂的混沌行为,从而使该模型成为混沌研究的经典范例[8]。
· 模型地位的奠定:逻辑斯谛增长模型被视为与密度相关的种群连续增长模型的典型,其参数
2. 简介
2. 简介
2.1 问题背景
种群增长的一个基础模型基于如下假设:在理想条件下(资源无限、空间充足、无天敌、无疾病),种群规模的增长率与种群规模本身成正比。该假设对某些生物种群(如细菌)的初期增长是合理的。 种群规模的增长率为其导数
,因此上述假设可表示为:
(1)
其中
设初始种群规模不为零,即对所有
也同步增大,即增长率随种群规模扩大而加速。
求解公式(1),需找到导数为自身常数倍的函数,指数函数满足此性质。令
令
然而,自然界中的种群增长并非无限制。马尔萨斯模型描述了理想条件下(即资源无限时)的指数增长,但这在现实中几乎不存在。大多数增长过程会受到环境承载力(如食物、空间、天敌等)的限制。韦尔霍斯特意识到人口增长不仅与现有人口相关,还受可用资源制约,即存在一个最大承载量。
在环境资源有限的情况下,种群初始呈指数增长,当规模接近环境容纳量
· 当
(初始阶段,增长率与N成正比);
· 当
(规模超过
一种能同时满足上述两个假设的方法是,假定增长率与当前种群规模(
,其中
2.2 核心思想
逻辑斯谛方程的核心思想是:种群增长率受双重因素影响,既与当前种群规模(

图2. 简单逻辑斯谛曲线的示意图。增长率函数在同一图上以钟形曲线表示。引自[12]
3. 主要内容
3. 主要内容
3.1 微分形式与推导
逻辑斯谛方程的标准微分形式为:
(2)
其中:
· N
:种群在时刻
该方程(2)亦可从韦尔霍斯特最初提出的形式推导而来。 其原始形式为
,其中
即可得到标准形式。
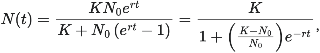
3.2 解析解与S形曲线
逻辑斯谛方程是一个可分离变量的微分方程,其解析解为:
(3)
或等价写作:
,其中
是由初始条件决定的常数。
该解描述了一条S形曲线(又称sigmoid曲线),其增长过程可分为三个阶段:
· 初始阶段(
· 过渡阶段(
· 饱和阶段(
3.3 方程的性质
3.3.1 逻辑斯谛系数与调节机制
方程(2)中的因子(
3.3.2 不动点与稳定性
逻辑斯谛方程有两个不动点(平衡点):
· N
对原方程
在 处,N = 0 ,微扰会指数增长,故为不稳定平衡点;f ′ ( 0 ) = λ > 0 在 处,N = K ,微扰会指数衰减,故为稳定平衡点;f ′ ( K ) = − λ < 0 当 时,逻辑斯谛系数为正,种群数量上升;当N < K 时,系数为负,种群数量下降;当N > K 时,系数为零,种群数量保持不变N = K
3.3.3 拐点与最大增长速率
逻辑斯谛曲线的拐点出现在 N
3.4 离散形式的逻辑斯谛方程
逻辑斯谛方程的离散形式称为逻辑斯谛映射,其表达式为:
3.5 推广
逻辑斯谛方程有多种推广形式,以适应更复杂的现实情况:
· 广义逻辑斯谛函数(Generalised logistic function):引入形状参数ν,方程形式为
,以增强拟合灵活性,常用于不对称增长或流行病建模[16][17];
· 时滞逻辑斯谛函数(Delayed Logistic function):考虑种群对资源影响的延迟反馈,方程形式为
,可能产生振荡等复杂动态[18];
· 空间逻辑斯谛函数(Spatial Logistic function):结合反应-扩散方程,研究种群在空间中的分布与传播模式[19];
· 冈珀茨函数(Gompertz function):常用于描述生长速度不对称的生长过程,如肿瘤生长[20];
· 超博拉斯特函数(Hyperbolastic function):用于更复杂的生长模式建模[21][22]
在统计学中,逻辑斯谛函数的多元推广是softmax函数,用于处理多类别分类问题。
4. 应用
4. 应用
4.1 生态学与人口学
逻辑斯谛方程最初且最直接的应用领域是生态学与人口学:
· 种群动力学:描述有限资源下生物种群的增长规律,如果蝇、细菌等。它也是许多相互作用种群模型(如捕食-被捕食模型)的基础[23][24]。
, 其中常数
(4)其中:
。 因此,
生态学中有时称一个物种是
。
若环境承载力随时间变化,即
,其中一种特别重要的情况是承载力呈周期变化:
另一个有趣的一般化情形是考虑承载能力
4.2 医学:流行病传播模型
在医学领域,逻辑斯谛方程被广泛应用于流行病学建模:
· 疾病传播:在经典的SIR模型中,逻辑斯谛方程可以近似描述在疾病爆发初期,易感人群数量庞大时,感染者人数的增长模式。在COVID-19大流行期间,广义逻辑斯谛曲线被广泛用于拟合和预测各国感染病例的增长轨迹[27][28]。
· 疫情预测:在COVID-19疫情期间,广义逻辑斯谛函数(理查兹增长曲线)被用于拟合感染轨迹,预测疫情发展趋势[29]。
· 肿瘤生长:用于描述肿瘤在营养限制条件下的生长动力学。可将其视为上述生态学/人口学模型的延伸。以
(5)
该式属于以下类型:
若采用化疗产生对数杀伤效果,则等式(5)修改为:
,其中
, 即,如果平均治疗引起的肿瘤死亡率大于基线增殖率,则疾病能被根除。当然,这是一个过于简化的生长和治疗模型(例如没有考虑克隆抗性现象)[30]。
4.3 化学与物理学
逻辑斯谛方程在化学和物理学中也有重要应用:
· 自催化反应:描述自催化化学反应中反应物和产物浓度的变化规律。例如,某些燃料电池催化剂的衰减过程遵循逻辑斯谛规律,提示其为自催化分解机制[31]。
· 费米-狄拉克分布:在统计物理中,逻辑斯谛函数决定了费米子在热平衡系统中各能态的占据概率分布[32]。
· 相变模型:用于描述材料科学中的某些相变过程[33]。
4.4 经济学、语言学、社会学与技术创新扩散
在经济学和社会科学中,逻辑斯谛方程用于描述各种扩散过程:
· 经济发展:用于分析经济增长的长期周期和基础设施建设的扩散过程。
· 市场预测:预测新产品市场占有率的增长和饱和趋势[34]。
· 语言学:用于对语言变化进行建模,如新词汇或语法结构的传播速度随时间呈S形变化。
· 创新扩散:巴斯扩散模型的核心就是逻辑斯谛方程,用于描述新产品或新技术在人群中采纳的过程:从早期采用者到晚期大众,最后市场饱和。
4.5 机器学习:逻辑斯谛回归与激活函数
在机器学习领域,逻辑斯谛函数是逻辑斯谛回归的基础:
· 二分类问题:通过逻辑斯谛函数(Sigmoid函数)将线性组合的输出映射到(0,1)区间,解释为概率。
· 多分类扩展:通过softmax函数推广到多类别分类问题。
· 深度学习:作为神经网络的激活函数,引入非线性特性。标准逻辑斯谛函数
。
逻辑斯谛回归源于1944年约瑟夫·伯克森基于逻辑斯谛函数提出的logit函数,后来由大卫·考克斯在1958年正式命名为逻辑斯谛回归。如今,它已成为分类问题中最广泛使用的算法之一[35][36]。
参考文献
参考文献可上下滑动查看
本词条由集智俱乐部众包生产,难免存在纰漏和问题,欢迎大家留言反馈,一经采纳,可以获得对应的积分奖励噢!
加入我们
亲爱的社区伙伴与知识探索者:
我们诚挚邀请热爱知识分享的您,加入集智百科词条编写志愿团队!无论您是领域专家,还是对特定主题充满热忱的学习者,这里都有您的舞台。通过编写百科词条,您将为全球读者传递权威知识,同时获得专家指导与个人能力跃升的双重成长。
📝 志愿者职责
创作新词条:覆盖复杂系统、人工智能等前沿领域
迭代经典内容:更新现有词条,守护知识的准确性与时效性
质量守护者:参与内容校对审核,共建精品知识库
🌟 我们期待您
集智读书会成员(需完成一期字幕任务)
拥有清晰表达复杂概念的写作能力
对特定领域有深度研究或强烈兴趣
具备信息检索与整合素养
怀揣责任感与协作精神,愿为知识共享赋能
🎁 您将收获
百科积分(支持兑换集智俱乐部周边:文化衫、复杂科学知识卡以及提现)
集智俱乐部创始人张江教授亲自指导写作
科研志愿者晋升通道:表现优异者可加入张江教授科研团队从事科研志愿者
你的百科贡献之路,从一字一句开始!
第一步,从成为一名字幕志愿者开始!
只需完成一期读书会讲座字幕任务,这不仅是贡献,更是一次深度的学习。字幕任务过关后,您将升级为“百科志愿者”,开启编辑词条、整理术语的进阶旅程。
从字幕到百科,这是一条清晰的成长路径。立即行动,从第一个任务开始你的升级吧!

扫码加入
群体智能读书会
如果你对这些反直觉但极有用的现象感兴趣——从蚁群搭桥、鱼群同步、到无人机集群表演、集群机器人协作、群智优化与多智能体系统、网络舆论建模研究等——欢迎加入「群体智能」读书会:我们用动物—人类—机器三条线,希望把群体智能的涌现这件事讲清楚、讲透彻;用物理学、数理逻辑、多主体建模、计算传播等多学科视角,去追问同一个核心:集群何以比个体更聪明?群体智能又在何时涌现?
集智俱乐部联合北京师范大学系统科学学院韩战钢教授、暨南大学计算传播研究中心赵甜芳副教授、新疆大学物理科学与技术学院玉素甫·艾比布拉副教授等来自11所高校的学者,共同发起本次「群体智能」读书会,尝试用一条普适的线索,把自然界的鸟群蚁群、人类社会的集群行为、以及人工智能时代的多智能体与群智优化,放在同一张地图上重新理解。读书会自2026年1月17日开始,安排在每周六下午 14:00–16:00,欢迎所有对群体智能如何涌现、如何被理解、以及如何被设计,感兴趣的朋友一起加入:带着问题来,带着更有趣的问题去。

详情请见:生物、机器与社会的群体智能——11所高校联合发起的群体智能读书会

加入我们
亲爱的社区伙伴与知识探索者:
我们诚挚邀请热爱知识分享的您,加入集智百科词条编写志愿团队!无论您是领域专家,还是对特定主题充满热忱的学习者,这里都有您的舞台。通过编写百科词条,您将为全球读者传递权威知识,同时获得专家指导与个人能力跃升的双重成长。
📝 志愿者职责
创作新词条:覆盖复杂系统、人工智能等前沿领域
迭代经典内容:更新现有词条,守护知识的准确性与时效性
质量守护者:参与内容校对审核,共建精品知识库
🌟 我们期待您
集智读书会成员(需完成一期字幕任务)
拥有清晰表达复杂概念的写作能力
对特定领域有深度研究或强烈兴趣
具备信息检索与整合素养
怀揣责任感与协作精神,愿为知识共享赋能
🎁 您将收获
百科积分(支持兑换集智俱乐部周边:文化衫、复杂科学知识卡以及提现)
集智俱乐部创始人张江教授亲自指导写作
科研志愿者晋升通道:表现优异者可加入张江教授科研团队从事科研志愿者
你的百科贡献之路,从一字一句开始!
第一步,从成为一名字幕志愿者开始!
只需完成一期读书会讲座字幕任务,这不仅是贡献,更是一次深度的学习。字幕任务过关后,您将升级为“百科志愿者”,开启编辑词条、整理术语的进阶旅程。
从字幕到百科,这是一条清晰的成长路径。立即行动,从第一个任务开始你的升级吧!

扫码加入
群体智能读书会
如果你对这些反直觉但极有用的现象感兴趣——从蚁群搭桥、鱼群同步、到无人机集群表演、集群机器人协作、群智优化与多智能体系统、网络舆论建模研究等——欢迎加入「群体智能」读书会:我们用动物—人类—机器三条线,希望把群体智能的涌现这件事讲清楚、讲透彻;用物理学、数理逻辑、多主体建模、计算传播等多学科视角,去追问同一个核心:集群何以比个体更聪明?群体智能又在何时涌现?
集智俱乐部联合北京师范大学系统科学学院韩战钢教授、暨南大学计算传播研究中心赵甜芳副教授、新疆大学物理科学与技术学院玉素甫·艾比布拉副教授等来自11所高校的学者,共同发起本次「群体智能」读书会,尝试用一条普适的线索,把自然界的鸟群蚁群、人类社会的集群行为、以及人工智能时代的多智能体与群智优化,放在同一张地图上重新理解。读书会自2026年1月17日开始,安排在每周六下午 14:00–16:00,欢迎所有对群体智能如何涌现、如何被理解、以及如何被设计,感兴趣的朋友一起加入:带着问题来,带着更有趣的问题去。


推荐阅读

点击“阅读原文”,报名读书会
内容中包含的图片若涉及版权问题,请及时与我们联系删除


评论
沙发等你来抢